



Abstract:Code embeddings are essential for semantic code search; however, current approaches often struggle to capture the precise syntactic and contextual nuances inherent in code. Open-source models such as CodeBERT and UniXcoder exhibit limitations in scalability and efficiency, while high-performing proprietary systems impose substantial computational costs. We introduce a parameter-efficient fine-tuning method based on Low-Rank Adaptation (LoRA) to construct task-specific adapters for code retrieval. Our approach reduces the number of trainable parameters to less than two percent of the base model, enabling rapid fine-tuning on extensive code corpora (2 million samples in 25 minutes on two H100 GPUs). Experiments demonstrate an increase of up to 9.1% in Mean Reciprocal Rank (MRR) for Code2Code search, and up to 86.69% for Text2Code search tasks across multiple programming languages. Distinction in task-wise and language-wise adaptation helps explore the sensitivity of code retrieval for syntactical and linguistic variations.




Abstract:Sparse Code Multiple Access (SCMA) is a disruptive code-domain non-orthogonal multiple access (NOMA) scheme to enable \color{black}future massive machine-type communication networks. As an evolved variant of code division multiple access (CDMA), multiple users in SCMA are separated by assigning distinctive sparse codebooks (CBs). Efficient multiuser detection is carried out at the receiver by employing the message passing algorithm (MPA) that exploits the sparsity of CBs to achieve error performance approaching to that of the maximum likelihood receiver. In spite of numerous research efforts in recent years, a comprehensive one-stop tutorial of SCMA covering the background, the basic principles, and new advances, is still missing, to the best of our knowledge. To fill this gap and to stimulate more forthcoming research, we provide a holistic introduction to the principles of SCMA encoding, CB design, and MPA based decoding in a self-contained manner. As an ambitious paper aiming to push the limits of SCMA, we present a survey of advanced decoding techniques with brief algorithmic descriptions as well as several promising directions.




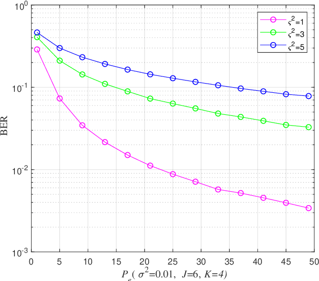
Abstract:Sparse code multiple access (SCMA), as a code-domain non-orthogonal multiple access (NOMA) scheme, has received considerable research attention for enabling massive connectivity in future wireless communication systems. In this paper, we present a novel codebook (CB) design for SCMA based visible light communication (VLC) system, which suffers from shot noise. In particular, we introduce an iterative algorithm for designing and optimizing CB by considering the impact of shot noise at the VLC receiver. Based on the proposed CB, we derive and analyze the theoretical bit error rate (BER) expression for the resultant SCMA-VLC system. The simulation results show that our proposed CBs outperform CBs in the existing literature for different loading factors with much less complexity. Further, the derived analytical BER expression well aligns with simulated results, especially in high signal power regions.




Abstract:Sparse Code Multiple Access (SCMA) is an enabling code-domain non-orthogonal multiple access (NOMA)scheme for massive connectivity and ultra low-latency in future machine-type communication networks. As an evolved variant of code division multiple access (CDMA), multiple users in SCMA are separated by assigning distinctive codebooks which display certain sparsity. At an SCMA receiver, efficient multiuser detection is carried out by employing the message passing algorithm (MPA) which exploits the sparsity of codebooks to achieve error rate performance approaching to that of the maximum likelihood receiver. Despite numerous research efforts on SCMA in recent years, a comprehensive and in-depth tutorial to SCMA is missing, to the best of our knowledge. To fill this gap and to stimulate more forthcoming research, we introduce the principles of SCMA encoding, codebook design, and MPA based decoding in a self-contained manner for layman researchers and engineers.