



Abstract:Quantification of human attention is key to several tasks in mobile human-computer interaction (HCI), such as predicting user interruptibility, estimating noticeability of user interface content, or measuring user engagement. Previous works to study mobile attentive behaviour required special-purpose eye tracking equipment or constrained users' mobility. We propose a novel method to sense and analyse visual attention on mobile devices during everyday interactions. We demonstrate the capabilities of our method on the sample task of eye contact detection that has recently attracted increasing research interest in mobile HCI. Our method builds on a state-of-the-art method for unsupervised eye contact detection and extends it to address challenges specific to mobile interactive scenarios. Through evaluation on two current datasets, we demonstrate significant performance improvements for eye contact detection across mobile devices, users, or environmental conditions. Moreover, we discuss how our method enables the calculation of additional attention metrics that, for the first time, enable researchers from different domains to study and quantify attention allocation during mobile interactions in the wild.




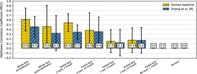
Abstract:With an ever-increasing number of mobile devices competing for our attention, quantifying when, how often, or for how long users visually attend to their devices has emerged as a core challenge in mobile human-computer interaction. Encouraged by recent advances in automatic eye contact detection using machine learning and device-integrated cameras, we provide a fundamental investigation into the feasibility of quantifying visual attention during everyday mobile interactions. We identify core challenges and sources of errors associated with sensing attention on mobile devices in the wild, including the impact of face and eye visibility, the importance of robust head pose estimation, and the need for accurate gaze estimation. Based on this analysis, we propose future research directions and discuss how eye contact detection represents the foundation for exciting new applications towards next-generation pervasive attentive user interfaces.