



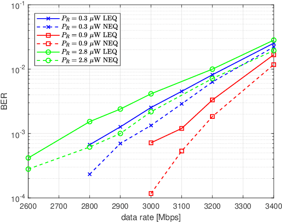
Abstract:Photon counting detectors such as single-photon avalanche diode (SPAD) arrays can be utilized to improve the sensitivity of optical wireless communication (OWC) systems. However, the achievable data rate of SPAD-based OWC systems is strongly limited by the nonlinearity induced by SPAD dead time. In this work, the performances of SPAD receivers for two different modulation schemes, namely, on-off keying (OOK) and orthogonal frequency division multiplexing (OFDM), are compared demonstrating contrasting optimal regimes of operation. We employ nonlinear equalization and peak-to-average power ratio optimization by adjusting the OFDM clipping level to achieve record experimental data rates of up to 5 Gbps. In particular, the experimental results demonstrate the achievable data rates of 3.22 Gbps and 5 Gbps when OOK and OFDM are employed, respectively. It is also illustrated that to achieve the best data rate performance over a wide range of received power, adaptive switching between OOK and OFDM may be utilized.




Abstract:SGD (Stochastic Gradient Descent) is a popular algorithm for large scale optimization problems due to its low iterative cost. However, SGD can not achieve linear convergence rate as FGD (Full Gradient Descent) because of the inherent gradient variance. To attack the problem, mini-batch SGD was proposed to get a trade-off in terms of convergence rate and iteration cost. In this paper, a general CVI (Convergence-Variance Inequality) equation is presented to state formally the interaction of convergence rate and gradient variance. Then a novel algorithm named SSAG (Stochastic Stratified Average Gradient) is introduced to reduce gradient variance based on two techniques, stratified sampling and averaging over iterations that is a key idea in SAG (Stochastic Average Gradient). Furthermore, SSAG can achieve linear convergence rate of $\mathcal {O}((1-\frac{\mu}{8CL})^k)$ at smaller storage and iterative costs, where $C\geq 2$ is the category number of training data. This convergence rate depends mainly on the variance between classes, but not on the variance within the classes. In the case of $C\ll N$ ($N$ is the training data size), SSAG's convergence rate is much better than SAG's convergence rate of $\mathcal {O}((1-\frac{\mu}{8NL})^k)$. Our experimental results show SSAG outperforms SAG and many other algorithms.