



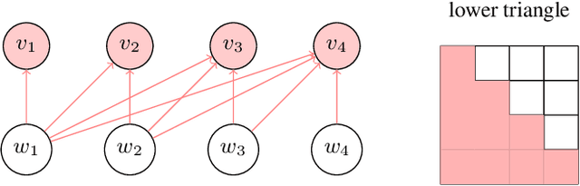
Abstract:Language models can be viewed as functions that embed text into Euclidean space, where the quality of the embedding vectors directly determines model performance, training such neural networks involves various uncertainties. This paper focuses on improving the performance of pre-trained language models in zero-shot settings through a simple and easily implementable method. We propose a novel backward attention mechanism to enhance contextual information encoding. Evaluated on the Chinese Massive Text Embedding Benchmark (C-MTEB), our approach achieves significant improvements across multiple tasks, providing valuable insights for advancing zero-shot learning capabilities.