Abstract:The purpose of image steganalysis is to determine whether the carrier image contains hidden information or not. Since JEPG is the most commonly used image format over social networks, steganalysis in JPEG images is also the most urgently needed to be explored. However, in order to detect whether secret information is hidden within JEPG images, the majority of existing algorithms are designed in conjunction with the popular computer vision related networks, without considering the key characteristics appeared in image steganalysis. It is crucial that the steganographic signal, as an extremely weak signal, can be enhanced during its representation learning process. Motivated by this insight, in this paper, we introduce a novel representation learning algorithm for JPEG steganalysis that is mainly consisting of a graph attention learning module and a feature enhancement module. The graph attention learning module is designed to avoid global feature loss caused by the local feature learning of convolutional neural network and reliance on depth stacking to extend the perceptual domain. The feature enhancement module is applied to prevent the stacking of convolutional layers from weakening the steganographic information. In addition, pretraining as a way to initialize the network weights with a large-scale dataset is utilized to enhance the ability of the network to extract discriminative features. We advocate pretraining with ALASKA2 for the model trained with BOSSBase+BOWS2. The experimental results indicate that the proposed algorithm outperforms previous arts in terms of detection accuracy, which has verified the superiority and applicability of the proposed work.




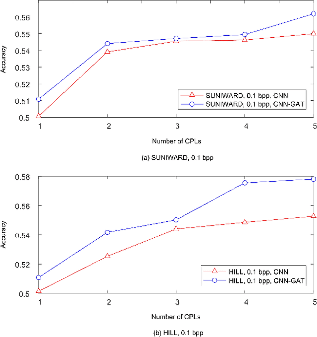
Abstract:In this paper, we introduce a graph representation learning architecture for spatial image steganalysis, which is motivated by the assumption that steganographic modifications unavoidably distort the statistical characteristics of the hidden graph features derived from cover images. In the detailed architecture, we translate each image to a graph, where nodes represent the patches of the image and edges indicate the local associations between the patches. Each node is associated with a feature vector determined from the corresponding patch by a shallow convolutional neural network (CNN) structure. By feeding the graph to an attention network, the discriminative features can be learned for efficient steganalysis. Experiments indicate that the reported architecture achieves a competitive performance compared to the benchmark CNN model, which has shown the potential of graph learning for steganalysis.