



Abstract:Detailed routing is one of the most critical steps in analog circuit design. Complete routing has become increasingly more challenging in advanced node analog circuits, making advances in efficient automatic routers ever more necessary. In this work, we propose a machine learning driven method for solving the track-assignment detailed routing problem for advanced node analog circuits. Our approach adopts an attention-based reinforcement learning (RL) policy model. Our main insight and advancement over this RL model is the use of supervision as a way to leverage solutions generated by a conventional genetic algorithm (GA). For this, our approach minimizes the Kullback-Leibler divergence loss between the output from the RL policy model and a solution distribution obtained from the genetic solver. The key advantage of this approach is that the router can learn a policy in an offline setting with supervision, while improving the run-time performance nearly 100x over the genetic solver. Moreover, the quality of the solutions our approach produces matches well with those generated by GA. We show that especially for complex problems, our supervised RL method provides good quality solution similar to conventional attention-based RL without comprising run time performance. The ability to learn from example designs and train the router to get similar solutions with orders of magnitude run-time improvement can impact the design flow dramatically, potentially enabling increased design exploration and routability-driven placement.





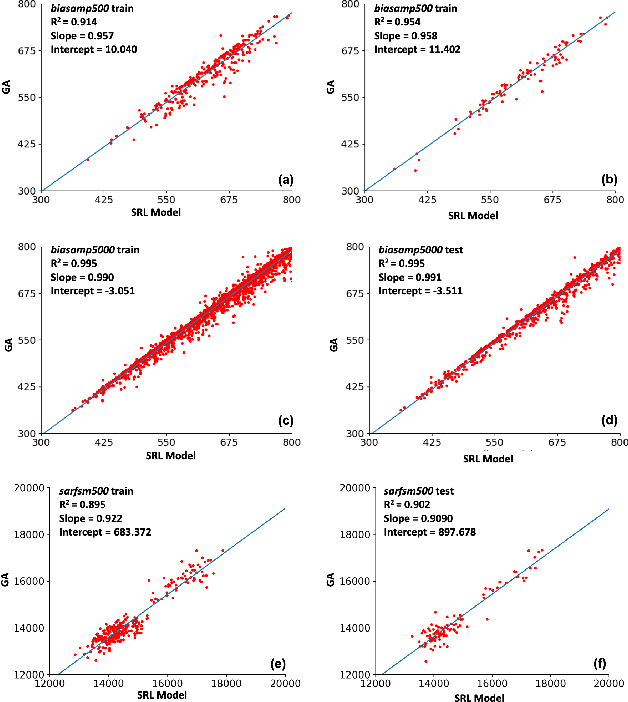
Abstract:In the physical design of integrated circuits, global and detailed routing are critical stages involving the determination of the interconnected paths of each net on a circuit while satisfying the design constraints. Existing actual routers as well as routability predictors either have to resort to expensive approaches that lead to high computational times, or use heuristics that do not generalize well. Even though new, learning-based routing methods have been proposed to address this need, requirements on labelled data and difficulties in addressing complex design rule constraints have limited their adoption in advanced technology node physical design problems. In this work, we propose a new router: attention router, which is the first attempt to solve the track-assignment detailed routing problem using reinforcement learning. Complex design rule constraints are encoded into the routing algorithm and an attention-model-based REINFORCE algorithm is applied to solve the most critical step in routing: sequencing device pairs to be routed. The attention router and its baseline genetic router are applied to solve different commercial advanced technologies analog circuits problem sets. The attention router demonstrates generalization ability to unseen problems and is also able to achieve more than 100 times acceleration over the genetic router without significantly compromising the routing solution quality. We also discover a similarity between the attention router and the baseline genetic router in terms of positive correlations in cost and routing patterns, which demonstrate the attention router's ability to be utilized not only as a detailed router but also as a predictor for routability and congestion.
