

Abstract:In this paper, we study the joint detection and angle estimation problem for beamspace multiple-input multiple-output (MIMO) systems with multiple random jamming targets. An iterative low-complexity generalized likelihood ratio test (GLRT) is proposed by transforming the composite multiple hypothesis test on the projected vector into a series of binary hypothesis tests based on the spatial covariance matrix. In each iteration, the detector implicitly inhibits the mainlobe effects of the previously detected jammers by utilizing the estimated angles and average jamming-to-signal ratios. This enables the detection of a new potential jammer and the identification of its corresponding spatial covariance. Simulation results demonstrate that the proposed method outperforms existing benchmarks by suppressing sidelobes of the detected jammers and interference from irrelevant angles, especially in medium-to-high jamming-to-noise ratio scenarios.




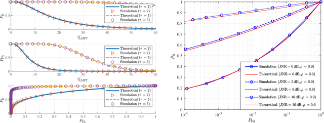
Abstract:In this paper, we investigate the problem of jamming detection and channel estimation during multi-user uplink beam training under random pilot jamming attacks in beamspace massive multi-input-multi-output (MIMO) systems. For jamming detection, we distinguish the signals from the jammer and the user by projecting the observation signals onto the pilot space. By using the multiple projected observation vectors corresponding to the unused pilots, we propose a jamming detection scheme based on the locally most powerful test (LMPT) for systems with general channel conditions. Analytical expressions for the probability of detection and false alarms are derived using the second-order statistics and likelihood functions of the projected observation vectors. For the detected jammer along with users, we propose a two-step minimum mean square error (MMSE) channel estimation using the projected observation vectors. As a part of the channel estimation, we develop schemes to estimate the norm and the phase of the inner-product of the legitimate pilot vector and the random jamming pilot vector, which can be obtained using linear MMSE estimation and a bilinear form of the multiple projected observation vectors. From simulations under different system parameters, we observe that the proposed technique improves the detection probability by 32.22% compared to the baseline at medium channel correlation level, and the channel estimation achieves a mean square error of -15.93dB.
Abstract:In frequency division duplexing (FDD) cell-free massive MIMO, the acquisition of the channel state information (CSI) is very challenging because of the large overhead required for the training and feedback of the downlink channels of multiple cooperating base stations (BSs). In this paper, for systems with partial uplink-downlink channel reciprocity, and a general spatial domain channel model with variations in the average port power and correlation among port coefficients, we propose a joint-port-selection-based CSI acquisition and feedback scheme for the downlink transmission with zero-forcing precoding. The scheme uses an eigenvalue-decomposition-based transformation to reduce the feedback overhead by exploring the port correlation. We derive the sum-rate of the system for any port selection. Based on the sum-rate result, we propose a low-complexity greedy-search-based joint port selection (GS-JPS) algorithm. Moreover, to adapt to fast time-varying scenarios, a supervised deep learning-enhanced joint port selection (DL-JPS) algorithm is proposed. Simulations verify the effectiveness of our proposed schemes and their advantage over existing port-selection channel acquisition schemes.