



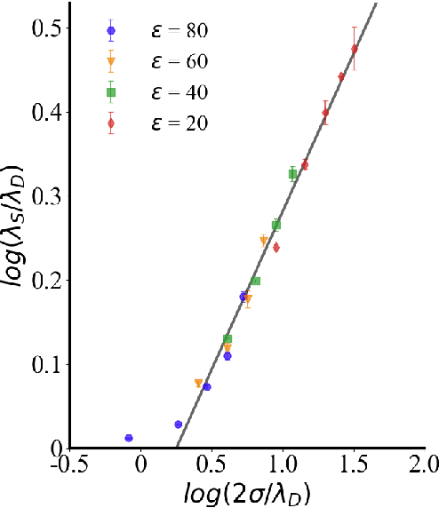
Abstract:Electrolytes play an important role in a plethora of applications ranging from energy storage to biomaterials. Notwithstanding this, the structure of concentrated electrolytes remains enigmatic. Many theoretical approaches attempt to model the concentrated electrolytes by introducing the idea of ion pairs, with ions either being tightly `paired' with a counter-ion, or `free' to screen charge. In this study we reframe the problem into the language of computational statistics, and test the null hypothesis that all ions share the same local environment. Applying the framework to molecular dynamics simulations, we show that this null hypothesis is not supported by data. Our statistical technique suggests the presence of distinct local ionic environments; surprisingly, these differences arise in like charge correlations rather than unlike charge attraction. The resulting fraction of particles in non-aggregated environments shows a universal scaling behaviour across different background dielectric constants and ionic concentrations.




Abstract:In the past several years, we have taken advantage of a number of opportunities to advance the intersection of next generation high-performance computing AI and big data technologies through partnerships in precision medicine. Today we are in the throes of piecing together what is likely the most unique convergence of medical data and computer technologies. But more deeply, we observe that the traditional paradigm of computer simulation and prediction needs fundamental revision. This is the time for a number of reasons. We will review what the drivers are, why now, how this has been approached over the past several years, and where we are heading.