



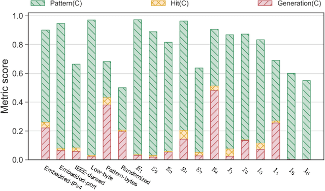
Abstract:Global IPv6 scanning has always been a challenge for researchers because of the limited network speed and computational power. Target generation algorithms are recently proposed to overcome the problem for Internet assessments by predicting a candidate set to scan. However, IPv6 custom address configuration emerges diverse addressing patterns discouraging algorithmic inference. Widespread IPv6 alias could also mislead the algorithm to discover aliased regions rather than valid host targets. In this paper, we introduce 6GAN, a novel architecture built with Generative Adversarial Net (GAN) and reinforcement learning for multi-pattern target generation. 6GAN forces multiple generators to train with a multi-class discriminator and an alias detector to generate non-aliased active targets with different addressing pattern types. The rewards from the discriminator and the alias detector help supervise the address sequence decision-making process. After adversarial training, 6GAN's generators could keep a strong imitating ability for each pattern and 6GAN's discriminator obtains outstanding pattern discrimination ability with a 0.966 accuracy. Experiments indicate that our work outperformed the state-of-the-art target generation algorithms by reaching a higher-quality candidate set.