



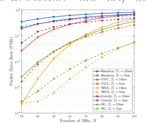
Abstract:In-body subnetworks (IBS) are envisioned to support reliable wireless connectivity for emerging applications including extended reality (XR) in the human body. As the deployment of in-body sub-networks is uncontrollable by nature, the dynamic radio resource allocation scheme in place becomes of the uttermost importance for the performance of the in-body sub-networks. This paper provides a comparative study on the performance of the state-of-the-art interference-aware sub-band allocation algorithms in in-body sub-networks supporting the XR applications. The study identified suitable models for characterizing in-body sub-networks which are used in a snapshot-based simulation framework to perform a comprehensive evaluation of the performance of state-of-art sub-band allocation algorithms, including greedy selection, sequential greedy selection (SG), centralized graph coloring (CGC), and sequential iterative sub-band allocation (SISA). The study shows that for XR requirements, the SISA and SG algorithms can support IBS densities up to 75% higher than CGC.





Abstract:Ambient internet of things (IoT) is the network of devices which harvest energy from ambient sources for powering their communication. After decades of research on operation of these devices, Third Generation Partnership Project (3GPP) has started discussing energy harvesting technology in cellular networks to support massive deployment of IoT devices at low operational cost. This article provides a timely update on 3GPP studies on ambient energy harvesting devices including device types, use cases, key requirements, and related design challenges. Supported by link budget analysis for backscattering energy harvesting devices, which are a key component of this study, we provide insight on system design and show how this technology will require a new system design approach as compared to New Radio (NR) system design in 5G.
