



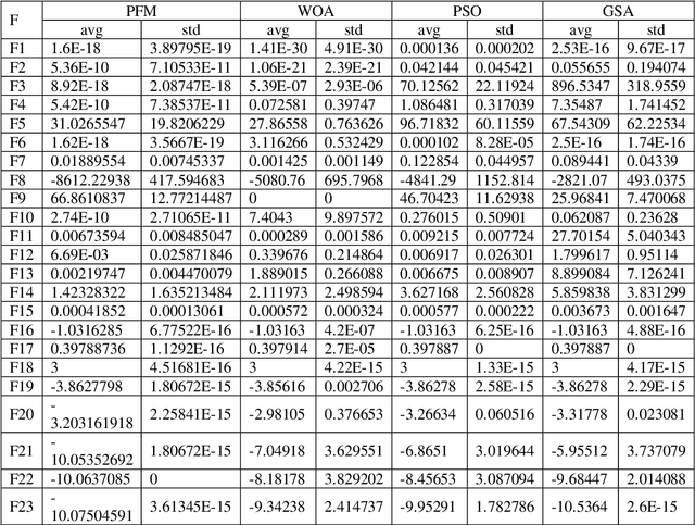
Abstract:Cloud computing has high applicability as an Internet based service that relies on sharing computing resources. Cloud computing provides services that are Infrastructure based, Platform based and Software based. The popularity of this technology is due to its superb performance, high level of computing ability, low cost of services, scalability, availability and flexibility. The obtainability and openness of data in cloud environment make it vulnerable to the world of cyber-attacks. To detect the attacks Intrusion Detection System is used, that can identify the attacks and ensure information security. Such a coherent and proficient Intrusion Detection System is proposed in this paper to achieve higher certainty levels regarding safety in cloud environment. In this paper, the mating behavior of peafowl is incorporated into an optimization algorithm which in turn is used as a feature selection algorithm. The algorithm is used to reduce the huge size of cloud data so that the IDS can work efficiently on the cloud to detect intrusions. The proposed model has been experimented with NSL-KDD dataset as well as Kyoto dataset and have proved to be a better as well as an efficient IDS.




Abstract:Recovering badly damaged face images is a useful yet challenging task, especially in extreme cases where the masked or damaged region is very large. One of the major challenges is the ability of the system to generalize on faces outside the training dataset. We propose to tackle this extreme inpainting task with a conditional Generative Adversarial Network (GAN) that utilizes structural information, such as edges, as a prior condition. Edge information can be obtained from the partially masked image and a structurally similar image or a hand drawing. In our proposed conditional GAN, we pass the conditional input in every layer of the encoder while maintaining consistency in the distributions between the learned weights and the incoming conditional input. We demonstrate the effectiveness of our method with badly damaged face examples.




Abstract:We present Poly-GAN, a novel conditional GAN architecture that is motivated by Fashion Synthesis, an application where garments are automatically placed on images of human models at an arbitrary pose. Poly-GAN allows conditioning on multiple inputs and is suitable for many tasks, including image alignment, image stitching, and inpainting. Existing methods have a similar pipeline where three different networks are used to first align garments with the human pose, then perform stitching of the aligned garment and finally refine the results. Poly-GAN is the first instance where a common architecture is used to perform all three tasks. Our novel architecture enforces the conditions at all layers of the encoder and utilizes skip connections from the coarse layers of the encoder to the respective layers of the decoder. Poly-GAN is able to perform a spatial transformation of the garment based on the RGB skeleton of the model at an arbitrary pose. Additionally, Poly-GAN can perform image stitching, regardless of the garment orientation, and inpainting on the garment mask when it contains irregular holes. Our system achieves state-of-the-art quantitative results on Structural Similarity Index metric and Inception Score metric using the DeepFashion dataset.