LSIS
Abstract:In this work we describe preferential Description Logics of typicality, a nonmonotonic extension of standard Description Logics by means of a typicality operator T allowing to extend a knowledge base with inclusions of the form T(C) v D, whose intuitive meaning is that normally/typically Cs are also Ds. This extension is based on a minimal model semantics corresponding to a notion of rational closure, built upon preferential models. We recall the basic concepts underlying preferential Description Logics. We also present two extensions of the preferential semantics: on the one hand, we consider probabilistic extensions, based on a distributed semantics that is suitable for tackling the problem of commonsense concept combination, on the other hand, we consider other strengthening of the rational closure semantics and construction to avoid the so-called blocking of property inheritance problem.
Abstract:We define a notion of rational closure for the logic SHIQ, which does not enjoys the finite model property, building on the notion of rational closure introduced by Lehmann and Magidor in [23]. We provide a semantic characterization of rational closure in SHIQ in terms of a preferential semantics, based on a finite rank characterization of minimal models. We show that the rational closure of a TBox can be computed in EXPTIME using entailment in SHIQ.
Abstract:We define the notion of rational closure in the context of Description Logics extended with a tipicality operator. We start from ALC+T, an extension of ALC with a typicality operator T: intuitively allowing to express concepts of the form T(C), meant to select the "most normal" instances of a concept C. The semantics we consider is based on rational model. But we further restrict the semantics to minimal models, that is to say, to models that minimise the rank of domain elements. We show that this semantics captures exactly a notion of rational closure which is a natural extension to Description Logics of Lehmann and Magidor's original one. We also extend the notion of rational closure to the Abox component. We provide an ExpTime algorithm for computing the rational closure of an Abox and we show that it is sound and complete with respect to the minimal model semantics.

Abstract:We study the logic of comparative concept similarity $\CSL$ introduced by Sheremet, Tishkovsky, Wolter and Zakharyaschev to capture a form of qualitative similarity comparison. In this logic we can formulate assertions of the form " objects A are more similar to B than to C". The semantics of this logic is defined by structures equipped by distance functions evaluating the similarity degree of objects. We consider here the particular case of the semantics induced by \emph{minspaces}, the latter being distance spaces where the minimum of a set of distances always exists. It turns out that the semantics over arbitrary minspaces can be equivalently specified in terms of preferential structures, typical of conditional logics. We first give a direct axiomatisation of this logic over Minspaces. We next define a decision procedure in the form of a tableaux calculus. Both the calculus and the axiomatisation take advantage of the reformulation of the semantics in terms of preferential structures.




Abstract:We present tableau calculi for some logics of nonmonotonic reasoning, as defined by Kraus, Lehmann and Magidor. We give a tableau proof procedure for all KLM logics, namely preferential, loop-cumulative, cumulative and rational logics. Our calculi are obtained by introducing suitable modalities to interpret conditional assertions. We provide a decision procedure for the logics considered, and we study their complexity.




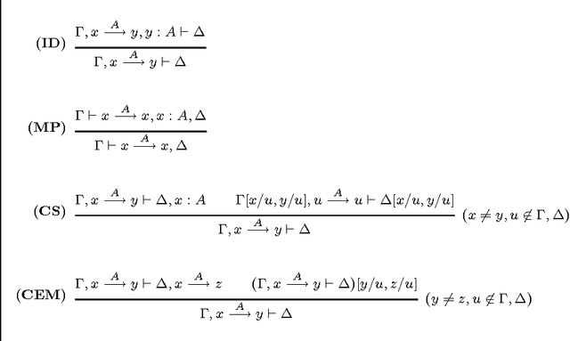
Abstract:In this paper we present a cut-free sequent calculus, called SeqS, for some standard conditional logics, namely CK, CK+ID, CK+MP and CK+MP+ID. The calculus uses labels and transition formulas and can be used to prove decidability and space complexity bounds for the respective logics. We also present CondLean, a theorem prover for these logics implementing SeqS calculi written in SICStus Prolog.