



Abstract:Raman spectroscopy is becoming more common for medical diagnostics with deep learning models being increasingly used to leverage its full potential. However, the opaque nature of such models and the sensitivity of medical diagnosis together with regulatory requirements necessitate the need for explainable AI tools. We introduce SpecReX, specifically adapted to explaining Raman spectra. SpecReX uses the theory of actual causality to rank causal responsibility in a spectrum, quantified by iteratively refining mutated versions of the spectrum and testing if it retains the original classification. The explanations provided by SpecReX take the form of a responsibility map, highlighting spectral regions most responsible for the model to make a correct classification. To assess the validity of SpecReX, we create increasingly complex simulated spectra, in which a "ground truth" signal is seeded, to train a classifier. We then obtain SpecReX explanations and compare the results with another explainability tool. By using simulated spectra we establish that SpecReX localizes to the known differences between classes, under a number of conditions. This provides a foundation on which we can find the spectral features which differentiate disease classes. This is an important first step in proving the validity of SpecReX.




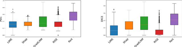
Abstract:Existing tools for explaining the output of image classifiers can be divided into white-box, which rely on access to the model internals, and black-box, agnostic to the model. As the usage of AI in the medical domain grows, so too does the usage of explainability tools. Existing work on medical image explanations focuses on white-box tools, such as gradcam. However, there are clear advantages to switching to a black-box tool, including the ability to use it with any classifier and the wide selection of black-box tools available. On standard images, black-box tools are as precise as white-box. In this paper we compare the performance of several black-box methods against gradcam on a brain cancer MRI dataset. We demonstrate that most black-box tools are not suitable for explaining medical image classifications and present a detailed analysis of the reasons for their shortcomings. We also show that one black-box tool, a causal explainability-based rex, performs as well as \gradcam.




Abstract:In this paper, we propose a new black-box explainability algorithm and tool, YO-ReX, for efficient explanation of the outputs of object detectors. The new algorithm computes explanations for all objects detected in the image simultaneously. Hence, compared to the baseline, the new algorithm reduces the number of queries by a factor of 10X for the case of ten detected objects. The speedup increases further with with the number of objects. Our experimental results demonstrate that YO-ReX can explain the outputs of YOLO with a negligible overhead over the running time of YOLO. We also demonstrate similar results for explaining SSD and Faster R-CNN. The speedup is achieved by avoiding backtracking by combining aggressive pruning with a causal analysis.