



Abstract:Event cameras are an exciting, new sensor modality enabling high-speed imaging with extremely low-latency and wide dynamic range. Unfortunately, most machine learning architectures are not designed to directly handle sparse data, like that generated from event cameras. Many state-of-the-art algorithms for event cameras rely on interpolated event representations - obscuring crucial timing information, increasing the data volume, and limiting overall network performance. This paper details an event representation called Time-Ordered Recent Event (TORE) volumes. TORE volumes are designed to compactly store raw spike timing information with minimal information loss. This bio-inspired design is memory efficient, computationally fast, avoids time-blocking (i.e. fixed and predefined frame rates), and contains "local memory" from past data. The design is evaluated on a wide range of challenging tasks (e.g. event denoising, image reconstruction, classification, and human pose estimation) and is shown to dramatically improve state-of-the-art performance. TORE volumes are an easy-to-implement replacement for any algorithm currently utilizing event representations.




Abstract:This paper presents a novel method for labeling real-world neuromorphic camera sensor data by calculating the likelihood of generating an event at each pixel within a short time window, which we refer to as "event probability mask" or EPM. Its applications include (i) objective benchmarking of event denoising performance, (ii) training convolutional neural networks for noise removal called "event denoising convolutional neural network" (EDnCNN), and (iii) estimating internal neuromorphic camera parameters. We provide the first dataset (DVSNOISE20) of real-world labeled neuromorphic camera events for noise removal.




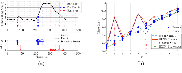
Abstract:This paper presents a novel fusion of low-level approaches for dimensionality reduction into an effective approach for high-level objects in neuromorphic camera data called Inceptive Event Time-Surfaces (IETS). IETSs overcome several limitations of conventional time-surfaces by increasing robustness to noise, promoting spatial consistency, and improving the temporal localization of (moving) edges. Combining IETS with transfer learning improves state-of-the-art performance on the challenging problem of object classification utilizing event camera data.