



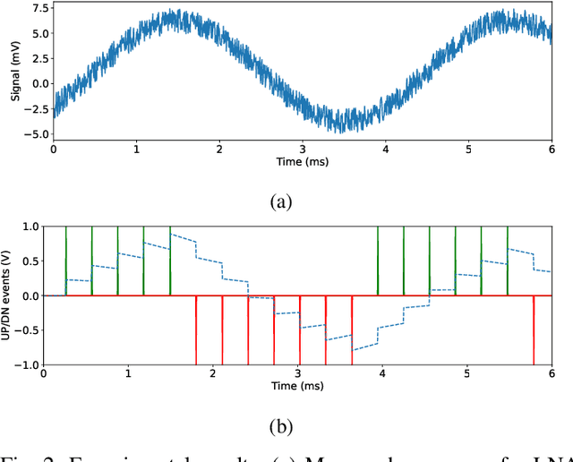
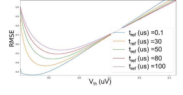
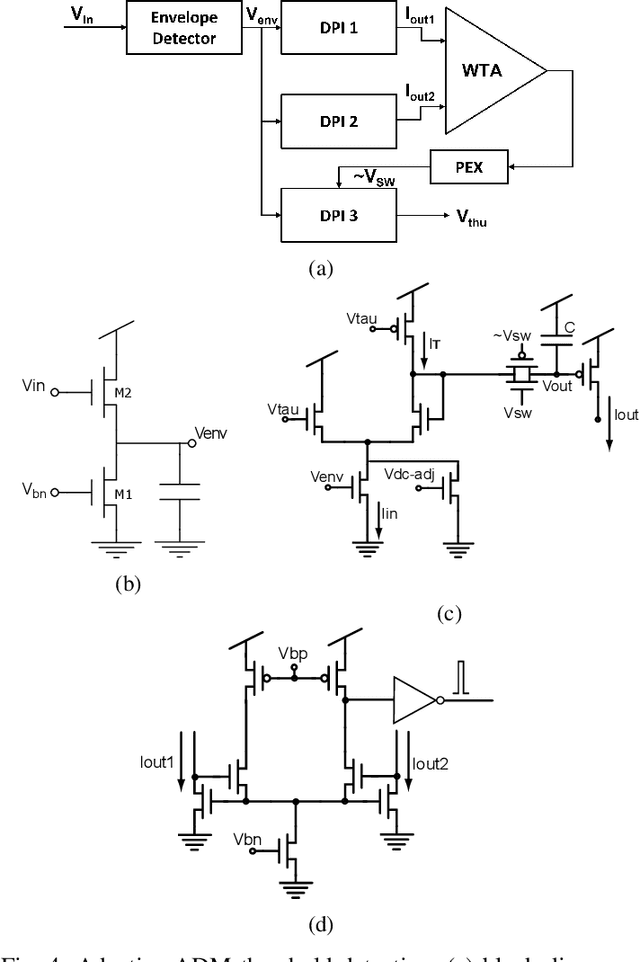
Abstract:Typical bio-signal processing front-ends are designed to maximize the quality of the recorded data, to allow faithful reproduction of the signal for monitoring and off-line processing. This leads to designs that have relatively large area and power consumption figures. However, wearable devices for always-on biomedical applications do not necessarily require to reproduce highly accurate recordings of bio-signals, provided their end-to-end classification or anomaly detection performance is not compromised. Within this context, we propose an adaptive Asynchronous Delta Modulator (ADM) circuit designed to encode signals with an event-based representation optimally suited for low-power on-line spiking neural network processors. The novel aspect of this work is the adaptive thresholding feature of the ADM, which allows the circuit to modulate and minimize the rate of events produced with the amplitude and noise characteristics of the signal. We describe the circuit's basic mode of operation, we validate it with experimental results, and characterize the new circuits that endow it with its adaptive thresholding properties.




Abstract:To achieve seizure freedom, epilepsy surgery requires the complete resection of the epileptogenic brain tissue. In intraoperative ECoG recordings, high frequency oscillations (HFOs) generated by epileptogenic tissue can be used to tailor the resection margin. However, automatic detection of HFOs in real-time remains an open challenge. Here we present a spiking neural network (SNN) for automatic HFO detection that is optimally suited for neuromorphic hardware implementation. We trained the SNN to detect HFO signals measured from intraoperative ECoG on-line, using an independently labeled dataset. We targeted the detection of HFOs in the fast ripple frequency range (250-500 Hz) and compared the network results with the labeled HFO data. We endowed the SNN with a novel artifact rejection mechanism to suppress sharp transients and demonstrate its effectiveness on the ECoG dataset. The HFO rates (median 6.6 HFO/min in pre-resection recordings) detected by this SNN are comparable to those published in the dataset (58 min, 16 recordings). The postsurgical seizure outcome was "predicted" with 100% accuracy for all 8 patients. These results provide a further step towards the construction of a real-time portable battery-operated HFO detection system that can be used during epilepsy surgery to guide the resection of the epileptogenic zone.