Abstract:In this paper, we explore the integration of communication and synthetic aperture radar (SAR)-based remote sensing in low Earth orbit (LEO) satellite systems to provide real-time SAR imaging and information transmission. Considering the high-mobility characteristics of satellite channels and limited processing capabilities of satellite payloads, we propose an integrated communication and remote sensing architecture based on an orthogonal delay-Doppler division multiplexing (ODDM) signal waveform. Both communication and SAR imaging functionalities are achieved with an integrated transceiver onboard the LEO satellite, utilizing the same waveform and radio frequency (RF) front-end. Based on such an architecture, we propose a transmission protocol compatible with the 5G NR standard using downlink pilots for joint channel estimation and SAR imaging. Furthermore, we design a unified signal processing framework for the integrated satellite receiver to simultaneously achieve high-performance channel sensing, low-complexity channel equalization and interference-free SAR imaging. Finally, the performance of the proposed integrated system is demonstrated through comprehensive analysis and extensive simulations in the sub-6 GHz band. Moreover, a software-defined radio (SDR) prototype is presented to validate its effectiveness for real-time SAR imaging and information transmission in satellite direct-connect user equipment (UE) scenarios within the millimeter-wave (mmWave) band.




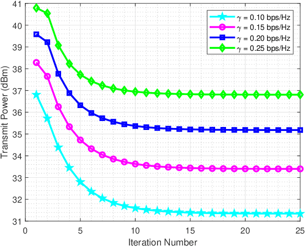
Abstract:In order to provide wireless services for wide sea area, this paper designs an integrated satellite-terrestrial maritime communication framework. Specifically, the terrestrial base station (TBS) serves near-shore users, while the low earth orbit (LEO) satellite communicates with off-shore users. We aim to improve the overall performance of integrated satellite-terrestrial maritime communication system. Thus, it makes sense to jointly optimize transmit beamforming at the TBS and LEO satellite. Due to sea wave fluctuation, the obtained channel state information (CSI) is often imperfect. In this context, a robust beamforming design algorithm is proposed with the goal of minimizing the total power consumption of integrated satellite-terrestrial maritime communication system while satisfying quality of service (QoS) requirements. Both theoretical analysis and simulation results confirm the effectiveness of proposed algorithm in maritime communications.




Abstract:Low earth orbit (LEO) satellite internet of things (IoT) is a promising way achieving global Internet of Everything, and thus has been widely recognized as an important component of sixth-generation (6G) wireless networks. Yet, due to high-speed movement of the LEO satellite, it is challenging to acquire timely channel state information (CSI) and design effective multibeam precoding for various IoT applications. To this end, this paper provides a deep learning (DL)-based joint channel prediction and multibeam precoding scheme under adverse environments, e.g., high Doppler shift, long propagation delay, and low satellite payload. {Specifically, this paper first designs a DL-based channel prediction scheme by using convolutional neural networks (CNN) and long short term memory (LSTM), which predicts the CSI of current time slot according to that of previous time slots. With the predicted CSI, this paper designs a DL-based robust multibeam precoding scheme by using a channel augmentation method based on variational auto-encoder (VAE).} Finally, extensive simulation results confirm the effectiveness and robustness of the proposed scheme in LEO satellite IoT.