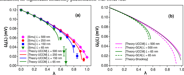
Abstract:This paper presents an improved compact model for TeraFETs employing a nonlinear transmission line approach to describe the non-uniform carrier density oscillations and electron inertia effects in the TeraFET channels. By calculating the equivalent components for each segment of the channel: conductance, capacitance, and inductance, based on the voltages at the segment's nodes, our model accommodates non-uniform variations along the channel. We validate the efficacy of this approach by comparing terahertz (THz) response simulations with experimental data and MOSA1, EKV TeraFET SPICE models, analytical theories, and Multiphysics simulations.




Abstract:We report on the numerical and theoretical results of sub-THz and THz detection by a current-driven InGaAs/GaAs plasmonic Field-Effect Transistor (TeraFET). New equations are developed to account for the channel length dependence of the drain voltage and saturation current. Numerical simulation results demonstrate that the effect of drain bias current on the source-to-drain response voltage (dU) varies with the device channel length. In a long-channel TeraFET where plasmonic oscillations cannot reach the drain, dU is always positive and rises rapidly with increasing drain current. For a short device in which plasmonic oscillations reach the drain, the current-induced nonuniform electric field leads to a negative response, agreeing with previous observations. At negative dU, the amplitude of the small-signal voltage at the drain side becomes larger than that at the source side. Thus, the device effectively serves as a THz amplifier in this condition. Under the resonant mode, the negative response can be further amplified near the resonant peaks. A new expression of dU is proposed to account for this resonant effect. Based on those expressions, a current-driven TeraFET spectrometer is proposed. The ease of implementation and simplified calibration procedures make it competitive or superior compared with other TeraFET-based spectrometers.