



Abstract:Offline procedures for estimating parameters of robot dynamics are practically based on the parameterized inverse dynamic model. In this paper, we present a novel approach to parameter estimation of robot dynamics which removes the necessity of parameterization (i.e. finding the minimum number of parameters from which the dynamics can be calculated through a linear model with respect to these parameters). This offline approach is based on a simple and powerful swarm intelligence tool: the particle swarm optimization (PSO). In this paper, we discuss and validate the method through simulated experiments. In Part Two we analyze our method in terms of robustness and compare it to robust analytical methods of estimation.




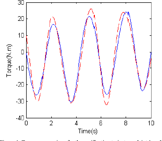
Abstract:In this paper, we analyze the robustness of the PSO-based approach to parameter estimation of robot dynamics presented in Part One. We have made attempts to make the PSO method more robust by experimenting with potential cost functions. The simulated system is a cylindrical robot; through simulation, the robot is excited, samples are taken, error is added to the samples, and the noisy samples are used for estimating the robot parameters through the presented method. Comparisons are made with the least squares, total least squares, and robust least squares methods of estimation.