



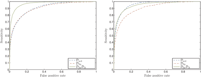
Abstract:Image hashing is the process of associating a short vector of bits to an image. The resulting summaries are useful in many applications including image indexing, image authentication and pattern recognition. These hashes need to be invariant under transformations of the image that result in similar visual content, but should drastically differ for conceptually distinct contents. This paper proposes an image hashing method that is invariant under rotation, scaling and translation of the image. The gist of our approach relies on the geometric characterization of salient point distribution in the image. This is achieved by the definition of a "saliency graph" connecting these points jointly with an image intensity function on the graph nodes. An invariant hash is then obtained by considering the spectrum of this function in the eigenvector basis of the Laplacian graph, that is, its graph Fourier transform. Interestingly, this spectrum is invariant under any relabeling of the graph nodes. The graph reveals geometric information of the image, making the hash robust to image transformation, yet distinct for different visual content. The efficiency of the proposed method is assessed on a set of MRI 2-D slices and on a database of faces.