CNRM




Abstract:Accurate precipitation forecasts have a high socio-economic value due to their role in decision-making in various fields such as transport networks and farming. We propose a global statistical postprocessing method for grid-based precipitation ensemble forecasts. This U-Net-based distributional regression method predicts marginal distributions in the form of parametric distributions inferred by scoring rule minimization. Distributional regression U-Nets are compared to state-of-the-art postprocessing methods for daily 21-h forecasts of 3-h accumulated precipitation over the South of France. Training data comes from the M\'et\'eo-France weather model AROME-EPS and spans 3 years. A practical challenge appears when consistent data or reforecasts are not available. Distributional regression U-Nets compete favorably with the raw ensemble. In terms of continuous ranked probability score, they reach a performance comparable to quantile regression forests (QRF). However, they are unable to provide calibrated forecasts in areas associated with high climatological precipitation. In terms of predictive power for heavy precipitation events, they outperform both QRF and semi-parametric QRF with tail extensions.
Abstract:The theoretical advances on the properties of scoring rules over the past decades have broaden the use of scoring rules in probabilistic forecasting. In meteorological forecasting, statistical postprocessing techniques are essential to improve the forecasts made by deterministic physical models. Numerous state-of-the-art statistical postprocessing techniques are based on distributional regression evaluated with the Continuous Ranked Probability Score (CRPS). However, theoretical properties of such minimization of the CRPS have mostly considered the unconditional framework (i.e. without covariables) and infinite sample sizes. We circumvent these limitations and study the rate of convergence in terms of CRPS of distributional regression methods We find the optimal minimax rate of convergence for a given class of distributions. Moreover, we show that the k-nearest neighbor method and the kernel method for the distributional regression reach the optimal rate of convergence in dimension $d\geq2$ and in any dimension, respectively.




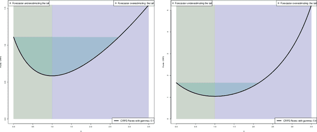
Abstract:Verification of ensemble forecasts for extreme events remains a challenging question. The general public as well as the media naturely pay particular attention on extreme events and conclude about the global predictive performance of ensembles, which are often unskillful when they are needed. Ashing classical verification tools to focus on such events can lead to unexpected behaviors. To square up these effects, thresholded and weighted scoring rules have been developed. Most of them use derivations of the Continuous Ranked Probability Score (CRPS). However, some properties of the CRPS for extreme events generate undesirable effects on the quality of verification. Using theoretical arguments and simulation examples, we illustrate some pitfalls of conventional verification tools and propose a different direction to assess ensemble forecasts using extreme value theory, considering proper scores as random variables.




Abstract:Rainfall ensemble forecasts have to be skillful for both low precipitation and extreme events. We present statistical post-processing methods based on Quantile Regression Forests (QRF) and Gradient Forests (GF) with a parametric extension for heavy-tailed distributions. Our goal is to improve ensemble quality for all types of precipitation events, heavy-tailed included, subject to a good overall performance. Our hybrid proposed methods are applied to daily 51-h forecasts of 6-h accumulated precipitation from 2012 to 2015 over France using the M{\'e}t{\'e}o-France ensemble prediction system called PEARP. They provide calibrated pre-dictive distributions and compete favourably with state-of-the-art methods like Analogs method or Ensemble Model Output Statistics. In particular, hybrid forest-based procedures appear to bring an added value to the forecast of heavy rainfall.