



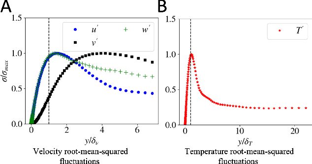
Abstract:We propose the Artificial Intelligence Velocimetry-Thermometry (AIVT) method to infer hidden temperature fields from experimental turbulent velocity data. This physics-informed machine learning method enables us to infer continuous temperature fields using only sparse velocity data, hence eliminating the need for direct temperature measurements. Specifically, AIVT is based on physics-informed Kolmogorov-Arnold Networks (not neural networks) and is trained by optimizing a combined loss function that minimizes the residuals of the velocity data, boundary conditions, and the governing equations. We apply AIVT to a unique set of experimental volumetric and simultaneous temperature and velocity data of Rayleigh-B\'enard convection (RBC) that we acquired by combining Particle Image Thermometry and Lagrangian Particle Tracking. This allows us to compare AIVT predictions and measurements directly. We demonstrate that we can reconstruct and infer continuous and instantaneous velocity and temperature fields from sparse experimental data at a fidelity comparable to direct numerical simulations (DNS) of turbulence. This, in turn, enables us to compute important quantities for quantifying turbulence, such as fluctuations, viscous and thermal dissipation, and QR distribution. This paradigm shift in processing experimental data using AIVT to infer turbulent fields at DNS-level fidelity is a promising avenue in breaking the current deadlock of quantitative understanding of turbulence at high Reynolds numbers, where DNS is computationally infeasible.