



Abstract:We present the first use of influence functions for deep learning-based wireless receivers. Applied to DeepRx, a fully convolutional receiver, influence analysis reveals which training samples drive bit predictions, enabling targeted fine-tuning of poorly performing cases. We show that loss-relative influence with capacity-like binary cross-entropy loss and first-order updates on beneficial samples most consistently improves bit error rate toward genie-aided performance, outperforming random fine-tuning in single-target scenarios. Multi-target adaptation proved less effective, underscoring open challenges. Beyond experiments, we connect influence to self-influence corrections and propose a second-order, influence-aligned update strategy. Our results establish influence functions as both an interpretability tool and a basis for efficient receiver adaptation.




Abstract:Concept discovery in neural networks often targets individual neurons or human-interpretable features, overlooking distributed layer-wide patterns. We study the Neural Activation Pattern (NAP) methodology, which clusters full-layer activation distributions to identify such layer-level concepts. Applied to visual object recognition and radio receiver models, we propose improved normalization, distribution estimation, distance metrics, and varied cluster selection. In the radio receiver model, distinct concepts did not emerge; instead, a continuous activation manifold shaped by Signal-to-Noise Ratio (SNR) was observed -- highlighting SNR as a key learned factor, consistent with classical receiver behavior and supporting physical plausibility. Our enhancements to NAP improved in-distribution vs. out-of-distribution separation, suggesting better generalization and indirectly validating clustering quality. These results underscore the importance of clustering design and activation manifolds in interpreting and troubleshooting neural network behavior.


Abstract:Mutual information provides a powerful, general-purpose metric for quantifying the amount of shared information between variables. Estimating normalized mutual information using a k-Nearest Neighbor (k-NN) based approach involves the calculation of the scaling-invariant k-NN radius. Calculation of the radius suffers from numerical overflow when the joint dimensionality of the data becomes high, typically in the range of several hundred dimensions. To address this issue, we propose a logarithmic transformation technique that improves the numerical stability of the radius calculation in high-dimensional spaces. By applying the proposed transformation during the calculation of the radius, numerical overflow is avoided, and precision is maintained. Proposed transformation is validated through both theoretical analysis and empirical evaluation, demonstrating its ability to stabilize the calculation without compromizing the precision of the results.




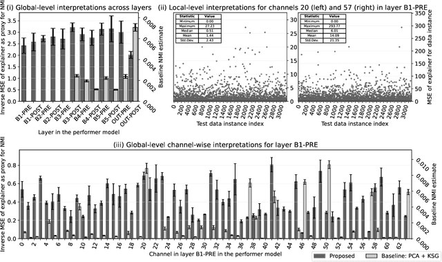
Abstract:We propose a novel method for interpreting neural networks, focusing on convolutional neural network-based receiver model. The method identifies which unit or units of the model contain most (or least) information about the channel parameter(s) of the interest, providing insights at both global and local levels -- with global explanations aggregating local ones. Experiments on link-level simulations demonstrate the method's effectiveness in identifying units that contribute most (and least) to signal-to-noise ratio processing. Although we focus on a radio receiver model, the method generalizes to other neural network architectures and applications, offering robust estimation even in high-dimensional settings.