



Abstract:Question Answering (QA) is key for making possible a robust communication between human and machine. Modern language models used for QA have surpassed the human-performance in several essential tasks; however, these models require large amounts of human-generated training data which are costly and time-consuming to create. This paper studies augmenting human-made datasets with synthetic data as a way of surmounting this problem. A state-of-the-art model based on deep transformers is used to inspect the impact of using synthetic answerable and unanswerable questions to complement a well-known human-made dataset. The results indicate a tangible improvement in the performance of the language model (measured in terms of F1 and EM scores) trained on the mixed dataset. Specifically, unanswerable question-answers prove more effective in boosting the model: the F1 score gain from adding to the original dataset the answerable, unanswerable, and combined question-answers were 1.3%, 5.0%, and 6.7%, respectively. [Link to the Github repository: https://github.com/lnikolenko/EQA]




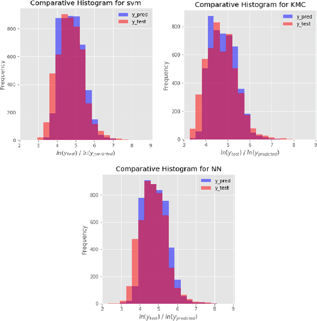
Abstract:Pricing a rental property on Airbnb is a challenging task for the owner as it determines the number of customers for the place. On the other hand, customers have to evaluate an offered price with minimal knowledge of an optimal value for the property. This paper aims to develop a reliable price prediction model using machine learning, deep learning, and natural language processing techniques to aid both the property owners and the customers with price evaluation given minimal available information about the property. Features of the rentals, owner characteristics, and the customer reviews will comprise the predictors, and a range of methods from linear regression to tree-based models, support-vector regression (SVR), K-means Clustering (KMC), and neural networks (NNs) will be used for creating the prediction model.