



Abstract:The transition from 5G networks to 6G highlights a significant demand for machine learning (ML). Deep learning models, in particular, have seen wide application in mobile networking and communications to support advanced services in emerging wireless environments, such as smart healthcare, smart grids, autonomous vehicles, aerial platforms, digital twins, and the metaverse. The rapid expansion of Internet-of-Things (IoT) devices, many with limited computational capabilities, has accelerated the development of tiny machine learning (TinyML) and resource-efficient ML approaches for cost-effective services. However, the deployment of large-scale machine learning (LargeML) solutions require major computing resources and complex management strategies to support extensive IoT services and ML-generated content applications. Consequently, the integration of TinyML and LargeML is projected as a promising approach for future seamless connectivity and efficient resource management. Although the integration of TinyML and LargeML shows abundant potential, several challenges persist, including performance optimization, practical deployment strategies, effective resource management, and security considerations. In this survey, we review and analyze the latest research aimed at enabling the integration of TinyML and LargeML models for the realization of smart services and applications in future 6G networks and beyond. The paper concludes by outlining critical challenges and identifying future research directions for the holistic integration of TinyML and LargeML in next-generation wireless networks.




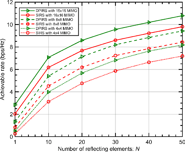
Abstract:This study considers a dual-polarized intelligent reflecting surface (DP-IRS)-assisted multiple-input multiple-output (MIMO) single-user wireless communication system. The transmitter and receiver are equipped with DP antennas, and each antenna features a separate phase shifter for each polarization. We attempt to maximize the system's spectral efficiency (SE) by optimizing the operations of the reflecting elements at the DP-IRS, precoder/combiner at the transmitter/receiver, and vertical/horizontal phase shifters at the DP antennas. To address this problem, we propose a three-step alternating optimization (AO) algorithm based on the semi-definite relaxation method. Next, we consider asymptotically low/high signal-to-noise ratio (SNR) regimes and propose low-complexity algorithms. In particular, for the low-SNR regime, we derive computationally low-cost closed-form solutions. According to the obtained numerical results, the proposed algorithm outperforms the various benchmark schemes. Specifically, our main algorithm exhibits a 65.6 \% increase in the SE performance compared to random operations. In addition, we compare the SE performance of DP-IRS with that of simple IRS (S-IRS). For \(N = 50\), DP-IRS achieves 24.8 \%, 28.2 \%, and 30.3 \% improvements in SE for \({4} \times {4}\), \({8} \times {8}\), and \({16} \times {16}\) MIMO, respectively, compared to S-IRS.




Abstract:This work considers the multihop multiple-input multiple-output relay network under short-packet communications to facilitate not only ultra-reliability but also low-latency communications. We assume that the transmit antenna selection (TAS) scheme is utilized at the transmit side, whereas either selection combining (SC) or maximum ratio combining (MRC) is leveraged at the receive side to achieve diversity gains. For quasi-static Rayleigh fading channels and the finite-blocklength regime, we derive the approximate closed-form expressions of the end-to-end (e2e) block error rate (BLER) for both the TAS/MRC and TAS/SC schemes. The asymptotic performance in the high signal-to-noise ratio regime is derived, from which the comparison of TAS/MRC and TAS/SC schemes in terms of the diversity order, e2e BLER loss, and SNR gap is provided. The e2e latency and throughputs are also analyzed for the considered schemes. The correctness of our analysis is confirmed via Monte Carlo simulations.



Abstract:We propose a novel concept of hybrid relay-reflecting intelligent surface (HR-RIS), in which a single or few elements are deployed with power amplifiers (PAs) to serve as active relays, while the remaining elements only reflect the incident signals. The design and optimization of the HR-RIS is formulated in a spectral efficiency (SE) maximization problem, which is efficiently solved by the alternating optimization (AO) method. The simulation results show that a significant improvement in the SE can be attained by the proposed HR-RIS, even with a limited power budget, with respect to the conventional reconfigurable intelligent surface (RIS). In particular, the favorable design and deployment of the HR-RIS are analytically derived and numerically justified.




Abstract:Reconfigurable intelligent surface (RIS) has emerged as a cost- and energy-efficient solution to enhance the wireless communication capacity. However, recent studies show that a very large surface is required for a RIS-assisted communication system; otherwise, they may be outperformed by the conventional relay. Furthermore, the performance gain of a RIS can be considerably degraded by hardware impairments such as limited-resolution phase shifters. To overcome those challenges, we propose a novel concept of hybrid relay-reflecting intelligent surface (HR-RIS), in which a single or few elements are deployed with power amplifiers (PAs) to serve as active relays, while the remaining elements only reflect the incident signals. Two architectures are proposed, including the fixed and dynamic HR-RIS. Their coefficient matrices are obtained based on alternating optimization (AO) and power allocation strategies, which enable understanding the fundamental performances of RIS and relaying-based systems with a trade-off between the two. The simulation results show that a significant improvement in both the spectral efficiency (SE) and energy efficiency (EE) with respect to the conventional RIS-aided system can be attained by the proposed schemes, especially, by the dynamic HR-RIS. In particular, the favorable design and deployment of the HR-RIS are analytically derived and numerically justified.




Abstract:Intelligent signal processing for wireless communications is a vital task in modern wireless systems, but it faces new challenges because of network heterogeneity, diverse service requirements, a massive number of connections, and various radio characteristics. Owing to recent advancements in big data and computing technologies, artificial intelligence (AI) has become a useful tool for radio signal processing and has enabled the realization of intelligent radio signal processing. This survey covers four intelligent signal processing topics for the wireless physical layer, including modulation classification, signal detection, beamforming, and channel estimation. In particular, each theme is presented in a dedicated section, starting with the most fundamental principles, followed by a review of up-to-date studies and a summary. To provide the necessary background, we first present a brief overview of AI techniques such as machine learning, deep learning, and federated learning. Finally, we highlight a number of research challenges and future directions in the area of intelligent radio signal processing. We expect this survey to be a good source of information for anyone interested in intelligent radio signal processing, and the perspectives we provide therein will stimulate many more novel ideas and contributions in the future.




Abstract:In this paper, we propose a novel learning-aided sphere decoding (SD) scheme for large multiple-input--multiple-output systems, namely, deep path prediction-based sphere decoding (DPP-SD). In this scheme, we employ a neural network (NN) to predict the minimum metrics of the ``deep'' paths in sub-trees before commencing the tree search in SD. To reduce the complexity of the NN, we employ the input vector with a reduced dimension rather than using the original received signals and full channel matrix. The outputs of the NN, i.e., the predicted minimum path metrics, are exploited to determine the search order between the sub-trees, as well as to optimize the initial search radius, which may reduce the computational complexity of SD. For further complexity reduction, an early termination scheme based on the predicted minimum path metrics is also proposed. Our simulation results show that the proposed DPP-SD scheme provides a significant reduction in computational complexity compared with the conventional SD algorithm, despite achieving near-optimal performance.




Abstract:In this study, we consider the application of deep learning (DL) to tabu search (TS) detection in large multiple-input multiple-output (MIMO) systems. First, we propose a deep neural network architecture for symbol detection, termed the fast-convergence sparsely connected detection network (FS-Net), which is obtained by optimizing the prior detection networks called DetNet and ScNet. Then, we propose the DL-aided TS algorithm, in which the initial solution is approximated by the proposed FS-Net. Furthermore, in this algorithm, an adaptive early termination algorithm and a modified searching process are performed based on the predicted approximation error, which is determined from the FS-Net-based initial solution, so that the optimal solution can be reached earlier. The simulation results show that the proposed algorithm achieves approximately 90% complexity reduction for a $32 \times 32$ MIMO system with QPSK with respect to the existing TS algorithms, while maintaining almost the same performance.