



Abstract:Motivated by cryptographic applications, we investigate two machine learning approaches to modular multiplication: namely circular regression and a sequence-to-sequence transformer model. The limited success of both methods demonstrated in our results gives evidence for the hardness of tasks involving modular multiplication upon which cryptosystems are based.




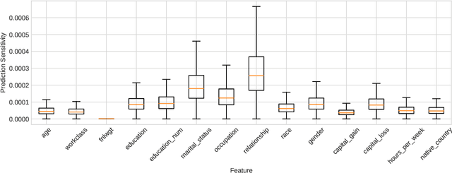
Abstract:As AI-based systems increasingly impact many areas of our lives, auditing these systems for fairness is an increasingly high-stakes problem. Traditional group fairness metrics can miss discrimination against individuals and are difficult to apply after deployment. Counterfactual fairness describes an individualized notion of fairness but is even more challenging to evaluate after deployment. We present prediction sensitivity, an approach for continual audit of counterfactual fairness in deployed classifiers. Prediction sensitivity helps answer the question: would this prediction have been different, if this individual had belonged to a different demographic group -- for every prediction made by the deployed model. Prediction sensitivity can leverage correlations between protected status and other features and does not require protected status information at prediction time. Our empirical results demonstrate that prediction sensitivity is effective for detecting violations of counterfactual fairness.




Abstract:Group fairness metrics can detect when a deep learning model behaves differently for advantaged and disadvantaged groups, but even models that score well on these metrics can make blatantly unfair predictions. We present smooth prediction sensitivity, an efficiently computed measure of individual fairness for deep learning models that is inspired by ideas from interpretability in deep learning. smooth prediction sensitivity allows individual predictions to be audited for fairness. We present preliminary experimental results suggesting that smooth prediction sensitivity can help distinguish between fair and unfair predictions, and that it may be helpful in detecting blatantly unfair predictions from "group-fair" models.



Abstract:Deep learning has produced big advances in artificial intelligence, but trained neural networks often reflect and amplify bias in their training data, and thus produce unfair predictions. We propose a novel measure of individual fairness, called prediction sensitivity, that approximates the extent to which a particular prediction is dependent on a protected attribute. We show how to compute prediction sensitivity using standard automatic differentiation capabilities present in modern deep learning frameworks, and present preliminary empirical results suggesting that prediction sensitivity may be effective for measuring bias in individual predictions.