



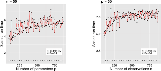
Abstract:Personalized medicine has become an important part of medicine, for instance predicting individual drug responses based on genomic information. However, many current statistical methods are not tailored to this task, because they overlook the individual heterogeneity of patients. In this paper, we look at personalized medicine from a linear regression standpoint. We introduce an alternative version of the ridge estimator and target individuals by establishing a tuning parameter calibration scheme that minimizes prediction errors of individual patients. In stark contrast, classical schemes such as cross-validation minimize prediction errors only on average. We show that our pipeline is optimal in terms of oracle inequalities, fast, and highly effective both in simulations and on real data.
