



Abstract:Motivated by our collaboration with a major refugee resettlement agency in the U.S., we study a dynamic matching problem where each new arrival (a refugee case) must be matched immediately and irrevocably to one of the static resources (a location with a fixed annual quota). In addition to consuming the static resource, each case requires post-allocation service from a server, such as a translator. Given the time-consuming nature of service, a server may not be available at a given time, thus we refer to it as a dynamic resource. Upon matching, the case will wait to avail service in a first-come-first-serve manner. Bursty matching to a location may result in undesirable congestion at its corresponding server. Consequently, the central planner (the agency) faces a dynamic matching problem with an objective that combines the matching reward (captured by pair-specific employment outcomes) with the cost for congestion for dynamic resources and over-allocation for the static ones. Motivated by the observed fluctuations in the composition of refugee pools across the years, we design algorithms that do not rely on distributional knowledge constructed based on past years' data. To that end, we develop learning-based algorithms that are asymptotically optimal in certain regimes, easy to interpret, and computationally fast. Our design is based on learning the dual variables of the underlying optimization problem; however, the main challenge lies in the time-varying nature of the dual variables associated with dynamic resources. To overcome this challenge, our theoretical development brings together techniques from Lyapunov analysis, adversarial online learning, and stochastic optimization. On the application side, when tested on real data from our partner agency, our method outperforms existing ones making it a viable candidate for replacing the current practice upon experimentation.




Abstract:Algorithmic assignment of refugees and asylum seekers to locations within host countries has gained attention in recent years, with implementations in the US and Switzerland. These approaches use data on past arrivals to generate machine learning models that can be used (along with assignment algorithms) to match families to locations, with the goal of maximizing a policy-relevant integration outcome such as employment status after a certain duration. Existing implementations and research train models to predict the policy outcome directly, and use these predictions in the assignment procedure. However, the merits of this approach, particularly in non-stationary settings, has not been previously explored. This study proposes and compares three different modeling strategies: the standard approach described above, an approach that uses newer data and proxy outcomes, and a hybrid approach. We show that the hybrid approach is robust to both distribution shift and weak proxy relationships -- the failure points of the other two methods, respectively. We compare these approaches empirically using data on asylum seekers in the Netherlands. Surprisingly, we find that both the proxy and hybrid approaches out-perform the standard approach in practice. These insights support the development of a real-world recommendation tool currently used by NGOs and government agencies.




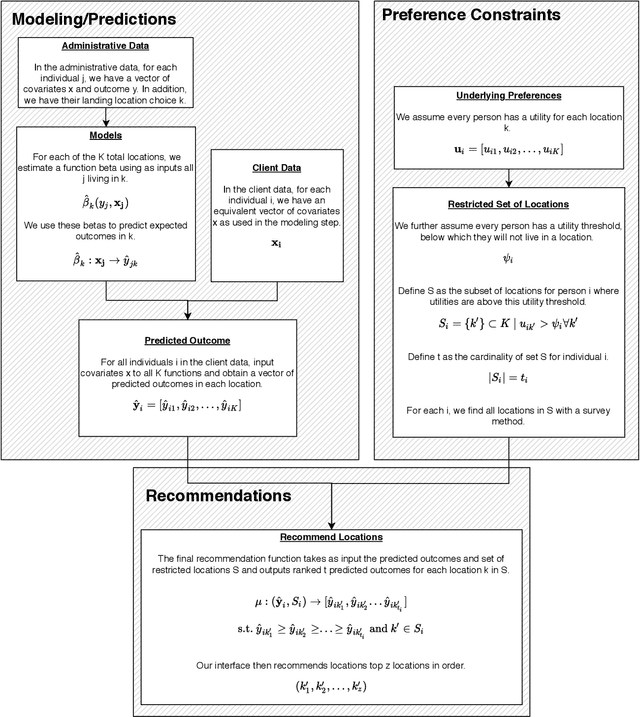
Abstract:A growing number of countries have established programs to attract immigrants who can contribute to their economy. Research suggests that an immigrant's initial arrival location plays a key role in shaping their economic success. Yet immigrants currently lack access to personalized information that would help them identify optimal destinations. Instead, they often rely on availability heuristics, which can lead to the selection of sub-optimal landing locations, lower earnings, elevated outmigration rates, and concentration in the most well-known locations. To address this issue and counteract the effects of cognitive biases and limited information, we propose a data-driven decision helper that draws on behavioral insights, administrative data, and machine learning methods to inform immigrants' location decisions. The decision helper provides personalized location recommendations that reflect immigrants' preferences as well as data-driven predictions of the locations where they maximize their expected earnings given their profile. We illustrate the potential impact of our approach using backtests conducted with administrative data that links landing data of recent economic immigrants from Canada's Express Entry system with their earnings retrieved from tax records. Simulations across various scenarios suggest that providing location recommendations to incoming economic immigrants can increase their initial earnings and lead to a mild shift away from the most populous landing destinations. Our approach can be implemented within existing institutional structures at minimal cost, and offers governments an opportunity to harness their administrative data to improve outcomes for economic immigrants.


Abstract:In the classic linear assignment problem, items must be assigned to agents in a manner that minimizes the sum of the costs for each item-agent assignment, where the costs of all possible item-agent pairings are observed in advance. This is a well-known and well-characterized problem, and algorithms exist to attain the solution. In contrast, less attention has been given to the dynamic version of this problem where each item must be assigned to an agent sequentially upon arrival without knowledge of the future items to arrive. This study proposes an assignment mechanism that combines linear assignment programming solutions with stochastic programming methods to minimize the expected loss when assignments must be made in this dynamic sequential fashion, and offers an algorithm for implementing the mechanism. The study also presents an approximate version of the mechanism and accompanying algorithm that is more computationally efficient, along with even more efficient heuristic alternatives. In addition, the study provides an extension to dynamic batch assignment, where items arrive and must be assigned sequentially in groups. An application on assigning refugees to geographic areas in the United States is presented to illustrate the methods.