



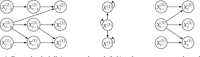
Abstract:We address in this study the problem of learning a summary causal graph on time series with potentially different sampling rates. To do so, we first propose a new temporal mutual information measure defined on a window-based representation of time series. We then show how this measure relates to an entropy reduction principle that can be seen as a special case of the Probabilistic Raising Principle. We finally combine these two ingredients in a PC-like algorithm to construct the summary causal graph. This algorithm is evaluated on several datasets that shows both its efficacy and efficiency.