



Abstract:Noisy intermediate-scale quantum (NISQ) devices are spearheading the second quantum revolution. Of these, quantum annealers are the only ones currently offering real world, commercial applications on as many as 5000 qubits. The size of problems that can be solved by quantum annealers is limited mainly by errors caused by environmental noise and intrinsic imperfections of the processor. We address the issue of intrinsic imperfections with a novel error correction approach, based on machine learning methods. Our approach adjusts the input Hamiltonian to maximize the probability of finding the solution. In our experiments, the proposed error correction method improved the performance of annealing by up to three orders of magnitude and enabled the solving of a previously intractable, maximally complex problem.




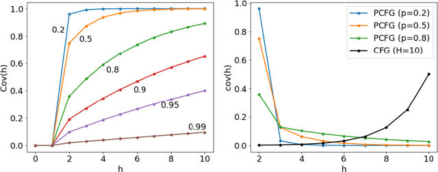
Abstract:Equation discovery, also known as symbolic regression, is a type of automated modeling that discovers scientific laws, expressed in the form of equations, from observed data and expert knowledge. Deterministic grammars, such as context-free grammars, have been used to limit the search spaces in equation discovery by providing hard constraints that specify which equations to consider and which not. In this paper, we propose the use of probabilistic context-free grammars in the context of equation discovery. Such grammars encode soft constraints on the space of equations, specifying a prior probability distribution on the space of possible equations. We show that probabilistic grammars can be used to elegantly and flexibly formulate the parsimony principle, that favors simpler equations, through probabilities attached to the rules in the grammars. We demonstrate that the use of probabilistic, rather than deterministic grammars, in the context of a Monte-Carlo algorithm for grammar-based equation discovery, leads to more efficient equation discovery. Finally, by specifying prior probability distributions over equation spaces, the foundations are laid for Bayesian approaches to equation discovery.