University of Greifswald, Greifswald, Germany




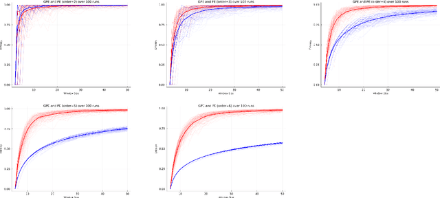
Abstract:Permutation Entropy, introduced by Bandt and Pompe, is a widely used complexity measure for real-valued time series that is based on the relative order of values within consecutive segments of fixed length. After standardizing each segment to a permutation and computing the frequency distribution of these permutations, Shannon Entropy is then applied to quantify the series' complexity. We introduce Global Permutation Entropy (GPE), a novel index that considers all possible patterns of a given length, including non-consecutive ones. Its computation relies on recently developed algorithms that enable the efficient extraction of full permutation profiles. We illustrate some properties of GPE and demonstrate its effectiveness through experiments on synthetic datasets, showing that it reveals structural information not accessible through standard permutation entropy. We provide a Julia package for the calculation of GPE at `https://github.com/AThreeH1/Global-Permutation-Entropy'.
Abstract:Data in the form of images or higher-order tensors is ubiquitous in modern deep learning applications. Owing to their inherent high dimensionality, the need for subquadratic layers processing such data is even more pressing than for sequence data. We propose a novel tensor-to-tensor layer with linear cost in the input size, utilizing the mathematical gadget of ``corner trees'' from the field of permutation counting. In particular, for order-two tensors, we provide an image-to-image layer that can be plugged into image processing pipelines. On the one hand, our method can be seen as a higher-order generalization of state-space models. On the other hand, it is based on a multiparameter generalization of the signature of iterated integrals (or sums). The proposed tensor-to-tensor concept is used to build a neural network layer called the Fast Iterated Sums (FIS) layer which integrates seamlessly with other layer types. We demonstrate the usability of the FIS layer with both classification and anomaly detection tasks. By replacing some layers of a smaller ResNet architecture with FIS, a similar accuracy (with a difference of only 0.1\%) was achieved in comparison to a larger ResNet while reducing the number of trainable parameters and multi-add operations. The FIS layer was also used to build an anomaly detection model that achieved an average AUROC of 97.3\% on the texture images of the popular MVTec AD dataset. The processing and modelling codes are publicly available at https://github.com/diehlj/fast-iterated-sums.
Abstract:Aggregation of time-series or image data over subsets of the domain is a fundamental task in data science. We show that many known aggregation operations can be interpreted as (double) functors on appropriate (double) categories. Such functorial aggregations are amenable to parallel implementation via straightforward extensions of Blelloch's parallel scan algorithm. In addition to providing a unified viewpoint on existing operations, it allows us to propose new aggregation operations for time-series and image data.
Abstract:We introduce a pipeline for time series classification that extracts features based on the iterated-sums signature (ISS) and then applies a linear classifier. These features are intrinsically nonlinear, capture chronological information, and, under certain settings, are invariant to time-warping. We are competitive with state-of-the-art methods on the UCR archive, both in terms of accuracy and speed. We make our code available at \url{https://github.com/irkri/fruits}.
Abstract:We explore the algebraic properties of a generalized version of the iterated-sums signature, inspired by previous work of F.~Kir\'aly and H.~Oberhauser. In particular, we show how to recover the character property of the associated linear map over the tensor algebra by considering a deformed quasi-shuffle product of words on the latter. We introduce three non-linear transformations on iterated-sums signatures, close in spirit to Machine Learning applications, and show some of their properties.



Abstract:Driven by the need for principled extraction of features from time series,we introduce the iterated-sums signature over any commutative semiring.The case of the tropical semiring is a central, and our motivating, example,as it leads to features of (real-valued) time series that are not easily availableusing existing signature-type objects.

Abstract:In data science, one is often confronted with a time series representing measurements of some quantity of interest. Usually, in a first step, features of the time series need to be extracted. These are numerical quantities that aim to succinctly describe the data and to dampen the influence of noise. In some applications, these features are also required to satisfy some invariance properties. In this paper, we concentrate on time-warping invariants. We show that these correspond to a certain family of iterated sums of the increments of the time series, known as quasisymmetric functions in the mathematics literature. We present these invariant features in an algebraic framework, and we develop some of their basic properties.

Abstract:We introduce a novel class of features for multidimensional time series, that are invariant with respect to transformations of the ambient space. The general linear group, the group of rotations and the group of permutations of the axes are considered. The starting point for their construction is Chen's iterated-integral signature.


Abstract:We introduce a novel class of rotation invariants of two dimensional curves based on iterated integrals. The invariants we present are in some sense complete and we describe an algorithm to calculate them, giving explicit computations up to order six. We present an application to online (stroke-trajectory based) character recognition. This seems to be the first time in the literature that the use of iterated integrals of a curve is proposed for (invariant) feature extraction in machine learning applications.