



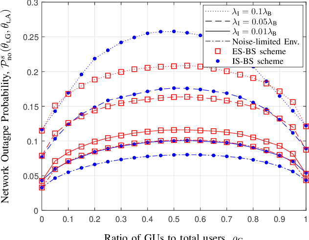
Abstract:Different to the conventional terrestrial network, an unmanned aerial vehicle (UAV) network is required to serve aerial users (AUs) as well as ground users (GUs). In order to serve both GUs and AUs, we first consider two base station (BS) service schemes: the inclusive-service BS (IS-BS) scheme, which makes BSs serve both GUs and AUs simultaneously, and the exclusive-service BS (ES-BS) scheme, which has BSs for GUs and BSs for AUs exclusively. We also model a BS antenna power gain, which is determined by the BS antenna tilt angle and the horizontal distance between a BS and a user (GU or AU). For each BS service scheme, we derive a network outage probability by taking into account the characteristics of the BS antenna power gain and channel components for line-of-sight (LoS) and non-line-of-sight (NLoS) environments. Finally, we show the effect of the total BS density, the interfering BS density, and the user density on the optimal BS antenna tilt angle and the network outage probability, and provide an appropriate BS service scheme for different network setups