



Abstract:In this paper, we study a movable antenna (MA) empowered secure transmission scheme for reconfigurable intelligent surface (RIS) aided cell-free symbiotic radio (SR) system. Specifically, the MAs deployed at distributed access points (APs) work collaboratively with the RIS to establish high-quality propagation links for both primary and secondary transmissions, as well as suppressing the risk of eavesdropping on confidential primary information. We consider both continuous and discrete MA position cases and maximize the secrecy rate of primary transmission under the secondary transmission constraints, respectively. For the continuous position case, we propose a two-layer iterative optimization method based on differential evolution with one-in-one representation (DEO), to find a high-quality solution with relatively moderate computational complexity. For the discrete position case, we first extend the DEO based iterative framework by introducing the mapping and determination operations to handle the characteristic of discrete MA positions. To further reduce the computational complexity, we then design an alternating optimization (AO) iterative framework to solve all variables within a single layer. In particular, we develop an efficient strategy to derive the sub-optimal solution for the discrete MA positions, superseding the DEO-based method. Numerical results validate the effectiveness of the proposed MA empowered secure transmission scheme along with its optimization algorithms.




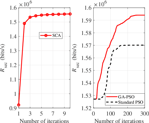
Abstract:In this paper, a novel movable antenna (MA) empowered secure transmission scheme is designed for cell-free symbiotic radio (SR) systems in the presence of an eavesdropper (Eve). Specifically, multiple distributed access points (APs) equipped with MAs collaboratively transmit confidential information to the primary user (PU), in the meanwhile the backscatter device (BD) transmits its own information to the secondary user (SU) by reflecting incident signals from the APs. The MAs deployed at the APs can adjust their positions flexibly to improve channel conditions between the APs and the PU/SU/BD and suppress the eavesdropping from the Eve on confidential information at the PU. Under this setup, we maximize the secrecy rate of primary transmission through jointly optimizing the APs' transmission beamforming vectors and the positions of the MAs, while adhering to the quality of service constraints at the SU. To address the challenges caused by the non-convexity and find a near-optimal solution, an alternating optimization (AO) framework is proposed, utilizing the successive convex approximation method, the semi-definite relaxation technology and a genetic algorithm modified particle swarm optimization (GA-PSO) algorithm. Numerical results demonstrate the secrecy rate enhancement provided by utilizing the MAs and show the impact of the GA-PSO algorithm for improving the solving accuracy.