Abstract:While Multimodal Large Language Models (MLLMs) have achieved remarkable success in 2D visual understanding, their ability to reason about 3D space remains limited. To address this gap, we introduce geometrically referenced 3D scene representations (GR3D). Given a set of input images, GR3D annotates objects in the images with unique IDs and encodes their 3D geometric attributes as textual references indexed by these IDs. This representation enables MLLMs to interpret 3D cues using their advanced language-based skills in mathematical reasoning, while concurrently analyzing 2D visual features in a tightly coupled way. We present a simple yet effective approach based on GR3D, which requires no additional training and is readily applicable to different MLLMs. Implemented in a zero-shot setting, our approach boosts GPT-5's performance on VSI-Bench by 8% overall and more than 11% on tasks that rely heavily on spatial layout understanding. Qualitative studies further demonstrate that GR3D empowers MLLMs to perform complex spatial reasoning with highly sparse input views.




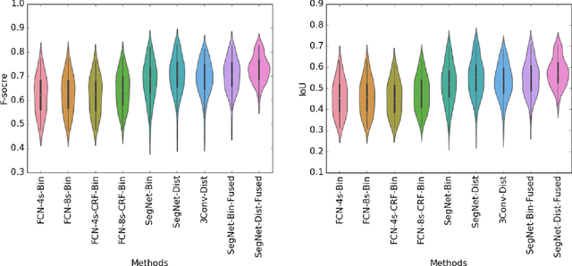
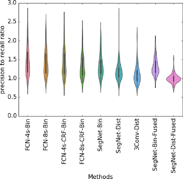
Abstract:Establishing up-to-date large scale building maps is essential to understand urban dynamics, such as estimating population, urban planning and many other applications. Although many computer vision tasks has been successfully carried out with deep convolutional neural networks, there is a growing need to understand their large scale impact on building mapping with remote sensing imagery. Taking advantage of the scalability of CNNs and using only few areas with the abundance of building footprints, for the first time we conduct a comparative analysis of four state-of-the-art CNNs for extracting building footprints across the entire continental United States. The four CNN architectures namely: branch-out CNN, fully convolutional neural network (FCN), conditional random field as recurrent neural network (CRFasRNN), and SegNet, support semantic pixel-wise labeling and focus on capturing textural information at multi-scale. We use 1-meter resolution aerial images from National Agriculture Imagery Program (NAIP) as the test-bed, and compare the extraction results across the four methods. In addition, we propose to combine signed-distance labels with SegNet, the preferred CNN architecture identified by our extensive evaluations, to advance building extraction results to instance level. We further demonstrate the usefulness of fusing additional near IR information into the building extraction framework. Large scale experimental evaluations are conducted and reported using metrics that include: precision, recall rate, intersection over union, and the number of buildings extracted. With the improved CNN model and no requirement of further post-processing, we have generated building maps for the United States. The quality of extracted buildings and processing time demonstrated the proposed CNN-based framework fits the need of building extraction at scale.




Abstract:We propose a method that integrates two widely available data sources, building footprints from 2D maps and street level images, to derive valuable information that is generally difficult to acquire -- building heights and building facade masks in images. Building footprints are elevated in world coordinates and projected onto images. Building heights are estimated by scoring projected footprints based on their alignment with building features in images. Building footprints with estimated heights can be converted to simple 3D building models, which are projected back to images to identify buildings. In this procedure, accurate camera projections are critical. However, camera position errors inherited from external sensors commonly exist, which adversely affect results. We derive a solution to precisely locate cameras on maps using correspondence between image features and building footprints. Experiments on real-world datasets show the promise of our method.




Abstract:Automatic building extraction from aerial and satellite imagery is highly challenging due to extremely large variations of building appearances. To attack this problem, we design a convolutional network with a final stage that integrates activations from multiple preceding stages for pixel-wise prediction, and introduce the signed distance function of building boundaries as the output representation, which has an enhanced representation power. We leverage abundant building footprint data available from geographic information systems (GIS) to compile training data. The trained network achieves superior performance on datasets that are significantly larger and more complex than those used in prior work, demonstrating that the proposed method provides a promising and scalable solution for automating this labor-intensive task.