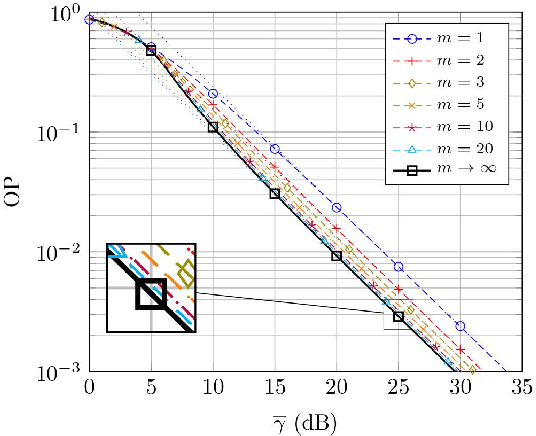
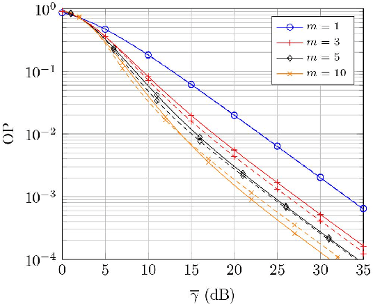
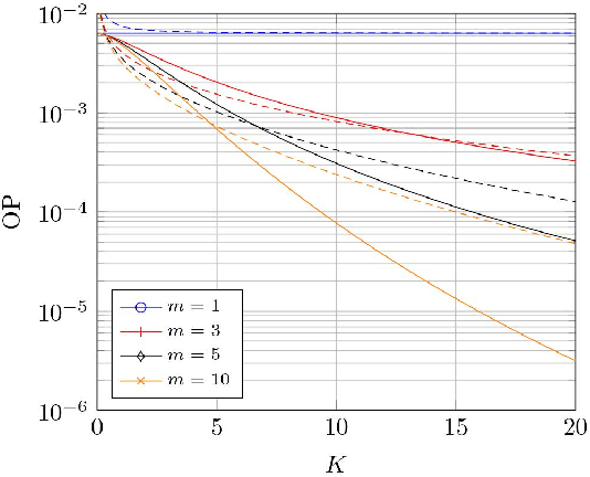
Abstract:We present a generalization of the notoriously unwieldy second-order scattering fading model, which is helpful to alleviate its mathematical complexity while providing an additional degree of freedom. This is accomplished by allowing its dominant specular component associated to line-of-sight propagation to randomly fluctuate. The statistical characterization of the newly proposed model is carried out, providing closed-form expressions for its probability and cumulative distribution functions, as well as for its generalized Laplace-domain statistics and raw moments. We exemplify how performance analysis can be done in this scenario, and discuss the role of the fading model parameters on system performance.




Abstract:We introduce the fdRLoS fading model as a natural generalization of the double-Rayleigh with line-of-sight fading model, on which the constant-amplitude line-of-sight component is now allowed to randomly fluctuate. We discuss the key benefits of the fdRLoS fading model here formulated over the state of the art, and provide an analytical characterization of its chief probability functions. We analyze the effect of the fading parameters that define the model, and discuss their impact on the performance of wireless communication systems.