Abstract:Reward-based fine-tuning aims to steer a pretrained diffusion or flow-based generative model toward higher-reward samples while remaining close to the pretrained model. Although existing methods are motivated by different perspectives such as Soft RL, GFlowNets, etc., we show that many can be written under a common framework, which we call reward score matching (RSM). Under this view, alignment becomes score matching toward a reward-guided target, and the main differences across methods reduce to the construction of the value-guidance estimator and the effective optimization strength across timesteps. This unification clarifies the bias--variance--compute tradeoffs of existing designs and distinguishes core optimization components from auxiliary mechanisms that add complexity without clear benefit. Guided by this perspective, we develop simpler redesigns that improve alignment effectiveness and compute efficiency across representative settings with differentiable and black-box rewards. Overall, RSM turns a seemingly fragmented collection of reward-based fine-tuning methods into a smaller, more interpretable, and more actionable design space.




Abstract:In this paper, we investigate the downlink multi-group multicast (MGM) transmission problem in overloaded mmWave systems. In particular, the conventional MGM beamforming requires substantial computational complexity and feedback (or pilot) overhead for acquisition of channel state information at the transmitter (CSIT), while simultaneous interference management and multicast beamforming optimization across multi-group inevitably incurs a significant rate loss. To address this, we propose a CSIT-free MGM (CF-MGM) transmission that eliminates the need for a complex CSIT acquisition. A deterministic CSIT-free precoding and proposed closed-form power allocation based on max-min fairness (MMF) allow each user to detect the common multicast stream completely canceling the inter-group interference with a significantly low complexity. Simulation results demonstrate the superiority and scalability of the proposed CF-MGM for the achievable rate and increase of users in a group outperforming the existing CSIT-based methods.
Abstract:This paper investigates the downlink (DL) transmission in millimeter-wave (mmWave) multi-user multiple-input single-output (MU-MISO) systems especially focusing on a high speed mobile scenario. To complete the DL transmission within an extremely short channel coherence time, we propose a novel DL transmission framework that eliminates the need for channel state information at the transmitter (CSIT), of which acquisition process requires a substantial overhead, instead fully exploiting the given channel coherence time. Harnessing the characteristic of mmWave channel and uniquely designed CSIT-free unitary precoding, we propose a symbol detection method along with the simultaneous CSI at the receiver (CSIR) and Doppler shift estimation method to completely cancel the interferences while achieving a full combining gain. Via simulations, we demonstrate the effectiveness of the proposed method comparing with the existing baselines.




Abstract:In this paper, we investigate the channel estimation problem in reconfigurable intelligent surface (RIS)-aided near-field communication systems, where the extremely large number of RIS elements imposes considerable pilot overhead and computational complexity. To address this, we employ a two-timescale channel estimation strategy that exploits the asymmetric coherence times of the RIS-base station (BS) channel and the User-RIS channel. We derive a time-scaling property indicating that for any two effective channels within the longer coherence time, one effective channel can be represented as the product of a vector, referred to as the small-timescale effective channel, and the other effective channel. By utilizing the estimated effective channel along with processed observations from our piecewise beam training, we present an efficient method for estimating subsequent small-timescale effective channels. We theoretically establish the efficacy of the proposed RIS design and demonstrate, through simulations, the superiority of our channel estimation method in terms of pilot overhead and computational complexity compared to existing methods across various realistic channel models.




Abstract:We study the channel estimation problem for a reconfigurable intelligent surface (RIS)-assisted millimeter-wave (mmWave) multi-user multiple-input multiple-output (MU-MIMO) system. In particular, it is assumed that the channel between a RIS and a base station (BS) exhibits a near-field line-of-sight (LoS) channel, which is a dominant signal path in mmWave communication systems. Due to the high-rankness and non-sparsity of the RIS-BS channel matrix in our system, the state-of-the-art (SOTA) methods, which are constructed based on far-field or near-field non-LoS (NLoS) channel, cannot provide attractive estimation performances. We for the first time propose an efficient near-field LoS/NLoS channel estimation method for RIS-assisted MU-MIMO systems by means of a piece-wise low-rank approximation. Specifically, an effective channel (to be estimated) is partitioned into piece-wise effective channels containing low-rank structures and then, they are estimated via collaborative low-rank approximation. The proposed method is named PW-CLRA. Via simulations, we verify the effectiveness of the proposed PW-CLRA.




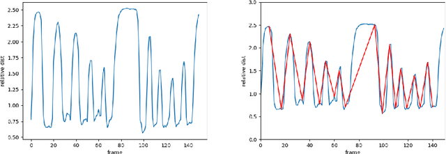
Abstract:Bradykinesia, characterized by involuntary slowing or decrement of movement, is a fundamental symptom of Parkinson's Disease (PD) and is vital for its clinical diagnosis. Despite various methodologies explored to quantify bradykinesia, computer vision-based approaches have shown promising results. However, these methods often fall short in adequately addressing key bradykinesia characteristics in repetitive limb movements: "occasional arrest" and "decrement in amplitude." This research advances vision-based quantification of bradykinesia by introducing nuanced numerical analysis to capture decrement in amplitudes and employing a simple deep learning technique, LSTM-FCN, for precise classification of occasional arrests. Our approach structures the classification process hierarchically, tailoring it to the unique dynamics of bradykinesia in PD. Statistical analysis of the extracted features, including those representing arrest and fatigue, has demonstrated their statistical significance in most cases. This finding underscores the importance of considering "occasional arrest" and "decrement in amplitude" in bradykinesia quantification of limb movement. Our enhanced diagnostic tool has been rigorously tested on an extensive dataset comprising 1396 motion videos from 310 PD patients, achieving an accuracy of 80.3%. The results confirm the robustness and reliability of our method.
Abstract:Hybrid beamforming is an emerging technology for massive multiple-input multiple-output (MIMO) systems due to the advantages of lower complexity, cost, and power consumption. Recently, intelligent reflection surface (IRS) has been proposed as the cost-effective technique for robust millimeter-wave (mmWave) MIMO systems. Thus, it is required to jointly optimize a reflection vector and hybrid beamforming matrices for IRS-aided mmWave MIMO systems. Due to the lack of RF chain in the IRS, it is unavailable to acquire the TX-IRS and IRS-RX channels separately. Instead, there are efficient methods to estimate the so-called effective (or cascaded) channel in literature. We for the first time derive the near-optimal solution of the aforementioned joint optimization only using the effective channel. Based on our theoretical analysis, we develop the practical reflection vector and hybrid beamforming matrices by projecting the asymptotic solution into the modulus constraint. Via simulations, it is demonstrated that the proposed construction can outperform the state-of-the-art (SOTA) method, where the latter even requires the knowledge of the TX-IRS ad IRS-RX channels separately. Furthermore, our construction can provide the robustness for channel estimation errors, which is inevitable for practical massive MIMO systems.




Abstract:Channel estimation is one of the key challenges for the deployment of reconfigurable intelligence surface (RIS)-aided communication systems. In this paper, we study the channel estimation problem of RIS-aided mmWave multi-user multiple-input multiple-output (MU-MIMO) systems especially when a hybrid receiver architecture is adopted. For this system, we propose a simple yet efficient channel estimation method using the fact that cascaded channels (to be estimated) have low-dimensional common column space. In the proposed method, the reflection vectors at the RIS and the RF combining matrices at the BS are designed such that the training observations are suitable for estimating the common column space and the user-specific coefficient matrices via a collaborative low-rank approximation. Via simulations, we demonstrate the effectiveness of the proposed channel estimation method compared with the state-of-the-art ones.