



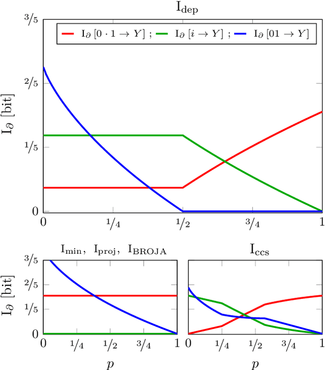
Abstract:The partial information decomposition (PID) is perhaps the leading proposal for resolving information shared between a set of sources and a target into redundant, synergistic, and unique constituents. Unfortunately, the PID framework has been hindered by a lack of a generally agreed-upon, multivariate method of quantifying the constituents. Here, we take a step toward rectifying this by developing a decomposition based on a new method that quantifies unique information. We first develop a broadly applicable method---the dependency decomposition---that delineates how statistical dependencies influence the structure of a joint distribution. The dependency decomposition then allows us to define a measure of the information about a target that can be uniquely attributed to a particular source as the least amount which the source-target statistical dependency can influence the information shared between the sources and the target. The result is the first measure that satisfies the core axioms of the PID framework while not satisfying the Blackwell relation, which depends on a particular interpretation of how the variables are related. This makes a key step forward to a practical PID.