ISIR




Abstract:The basal ganglia nuclei form a complex network of nuclei often assumed to perform selection, yet their individual roles and how they influence each other is still largely unclear. In particular, the ties between the external and internal parts of the globus pallidus are paradoxical, as anatomical data suggest a potent inhibitory projection between them while electrophys-iological recordings indicate that they have similar activities. Here we introduce a theoretical study that reconciles both views on the intra-pallidal projection, by providing a plausible characterization of the relationship between the external and internal globus pallidus. Specifically, we developed a mean-field model of the whole basal ganglia, whose parameterization is optimized to respect best a collection of numerous anatomical and electrophysiological data. We first obtained models respecting all our constraints, hence anatomical and electrophysiological data on the intrapallidal projection are globally consistent. This model furthermore predicts that both aforementioned views about the intra-pallidal projection may be reconciled when this projection is weakly inhibitory, thus making it possible to support similar neural activity in both nuclei and for the entire basal ganglia to select between actions. Second, we predicts that afferent projections are substantially unbalanced towards the external segment, as it receives the strongest excitation from STN and the weakest inhibition from the striatum. Finally, our study strongly suggest that the intrapallidal connection pattern is not focused but diffuse, as this latter pattern is more efficient for the overall selection performed in the basal ganglia.




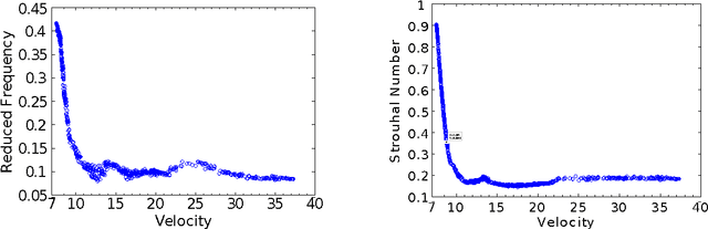
Abstract:Computational models are of increasing complexity and their behavior may in particular emerge from the interaction of different parts. Studying such models becomes then more and more difficult and there is a need for methods and tools supporting this process. Multi-objective evolutionary algorithms generate a set of trade-off solutions instead of a single optimal solution. The availability of a set of solutions that have the specificity to be optimal relative to carefully chosen objectives allows to perform data mining in order to better understand model features and regularities. We review the corresponding work, propose a unifying framework, and highlight its potential use. Typical questions that such a methodology allows to address are the following: what are the most critical parameters of the model? What are the relations between the parameters and the objectives? What are the typical behaviors of the model? Two examples are provided to illustrate the capabilities of the methodology. The features of a flapping-wing robot are thus evaluated to find out its speed-energy relation, together with the criticality of its parameters. A neurocomputational model of the Basal Ganglia brain nuclei is then considered and its most salient features according to this methodology are presented and discussed.