



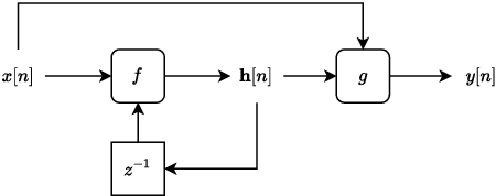
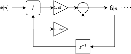
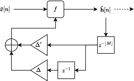
Abstract:In recent years, machine learning approaches to modelling guitar amplifiers and effects pedals have been widely investigated and have become standard practice in some consumer products. In particular, recurrent neural networks (RNNs) are a popular choice for modelling non-linear devices such as vacuum tube amplifiers and distortion circuitry. One limitation of such models is that they are trained on audio at a specific sample rate and therefore give unreliable results when operating at another rate. Here, we investigate several methods of modifying RNN structures to make them approximately sample rate independent, with a focus on oversampling. In the case of integer oversampling, we demonstrate that a previously proposed delay-based approach provides high fidelity sample rate conversion whilst additionally reducing aliasing. For non-integer sample rate adjustment, we propose two novel methods and show that one of these, based on cubic Lagrange interpolation of a delay-line, provides a significant improvement over existing methods. To our knowledge, this work provides the first in-depth study into this problem.

Abstract:chowdsp_wdf is a C++ library for implementing real-time wave digital models of analog circuits. chowdsp_wdf differs from existing wave digital modelling libraries by providing a template meta-programming interface for modelling circuits with a fixed topology, and providing support for explicit SIMD acceleration. The motivation and design of the library are described, as well as real-world use-cases, and performance comparisons with other wave digital modelling libraries.


Abstract:RTNeural is a neural inferencing library written in C++. RTNeural is designed to be used in systems with hard real-time constraints, with additional emphasis on speed, flexibility, size, and convenience. The motivation and design of the library are described, as well as real-world use-cases, and performance comparisons with other neural inferencing libraries.