



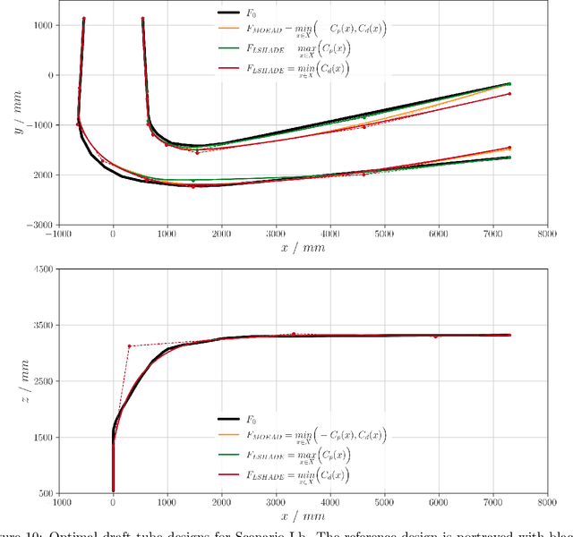
Abstract:This study aims to provide a comprehensive assessment of single-objective and multi-objective optimisation algorithms for the design of an elbow-type draft tube, as well as to introduce a computationally efficient optimisation workflow. The proposed workflow leverages deep neural network surrogates trained on data obtained from numerical simulations. The use of surrogates allows for a more flexible and faster evaluation of novel designs. The success history-based adaptive differential evolution with linear reduction and the multi-objective evolutionary algorithm based on decomposition were identified as the best-performing algorithms and used to determine the influence of different objectives in the single-objective optimisation and their combined impact on the draft tube design in the multi-objective optimisation. The results for the single-objective algorithm are consistent with those of the multi-objective algorithm when the objectives are considered separately. Multi-objective approach, however, should typically be chosen, especially for computationally inexpensive surrogates. A multi-criteria decision analysis method was used to obtain optimal multi-objective results, showing an improvement of 1.5% and 17% for the pressure recovery factor and drag coefficient, respectively. The difference between the predictions and the numerical results is less than 0.5% for the pressure recovery factor and 3% for the drag coefficient. As the demand for renewable energy continues to increase, the relevance of data-driven optimisation workflows, as discussed in this study, will become increasingly important, especially in the context of global sustainability efforts.




Abstract:In this paper, an in-depth analysis of Escherichia coli seawater measurements during the bathing season in the city of Rijeka, Croatia was conducted. Submerged sources of groundwater were observed at several measurement locations which could be the cause for increased E. coli values. This specificity of karst terrain is usually not considered during the monitoring process, thus a novel measurement methodology is proposed. A cascade machine learning model is used to predict coastal water quality based on meteorological data, which improves the level of accuracy due to data imbalance resulting from rare occurrences of measurements with reduced water quality. Currently, the cascade model is employed as a filter method, where measurements not classified as excellent quality need to be further analyzed. However, with improvements proposed in the paper, the cascade model could be ultimately used as a standalone method.




Abstract:Coastal water quality management is a public health concern, as poor coastal water quality can harbor pathogens that are dangerous to human health. Tourism-oriented countries need to actively monitor the condition of coastal water at tourist popular sites during the summer season. In this study, routine monitoring data of $Escherichia\ Coli$ and enterococci across 15 public beaches in the city of Rijeka, Croatia, were used to build machine learning models for predicting their levels based on environmental parameters as well as to investigate their relationships with environmental stressors. Gradient Boosting (Catboost, Xgboost), Random Forests, Support Vector Regression and Artificial Neural Networks were trained with measurements from all sampling sites and used to predict $E.\ Coli$ and enterococci values based on environmental features. The evaluation of stability and generalizability with 10-fold cross validation analysis of the machine learning models, showed that the Catboost algorithm performed best with R$^2$ values of 0.71 and 0.68 for predicting $E.\ Coli$ and enterococci, respectively, compared to other evaluated ML algorithms including Xgboost, Random Forests, Support Vector Regression and Artificial Neural Networks. We also use the SHapley Additive exPlanations technique to identify and interpret which features have the most predictive power. The results show that site salinity measured is the most important feature for forecasting both $E.\ Coli$ and enterococci levels. Finally, the spatial and temporal accuracy of both ML models were examined at sites with the lowest coastal water quality. The spatial $E. Coli$ and enterococci models achieved strong R$^2$ values of 0.85 and 0.83, while the temporal models achieved R$^2$ values of 0.74 and 0.67. The temporal model also achieved moderate R$^2$ values of 0.44 and 0.46 at a site with high coastal water quality.




Abstract:Previous research showed that conditioning a PSO agent's movement based on its personal fitness improvement enhances the standard PSO method. In this article, languid particle dynamics (LPD) technique is used on five adequate and widely used PSO variants. Five unmodified PSO variants were tested against their LPD-implemented counterparts on three search space dimensionalities (10, 20, and 50 dimensions) and 30 test functions of the CEC 2014 benchmark test. In the preliminary phase of the testing four of the five tested PSO variants showed improvement in accuracy. The worst and best-achieving variants from preliminary test went through detailed investigation on 220 and 770 combinations of method parameters, where both variants showed overall gains in accuracy when enhanced with LPD. Finally, the results obtained with best achieving PSO parameters were subject to statistical analysis which showed that the two variants give statistically significant improvements in accuracy for 13-50% of the test functions.