



Abstract:Recent years have seen a growing concern about climate change and its impacts. While Earth System Models (ESMs) can be invaluable tools for studying the impacts of climate change, the complex coupling processes encoded in ESMs and the large amounts of data produced by these models, together with the high internal variability of the Earth system, can obscure important source-to-impact relationships. This paper presents a novel and efficient unsupervised data-driven approach for detecting statistically-significant impacts and tracing spatio-temporal source-impact pathways in the climate through a unique combination of ideas from anomaly detection, clustering and Natural Language Processing (NLP). Using as an exemplar the 1991 eruption of Mount Pinatubo in the Philippines, we demonstrate that the proposed approach is capable of detecting known post-eruption impacts/events. We additionally describe a methodology for extracting meaningful sequences of post-eruption impacts/events by using NLP to efficiently mine frequent multivariate cluster evolutions, which can be used to confirm or discover the chain of physical processes between a climate source and its impact(s).




Abstract:This paper presents and evaluates a framework for the coupling of subdomain-local projection-based reduced order models (PROMs) using the Schwarz alternating method following a domain decomposition (DD) of the spatial domain on which a given problem of interest is posed. In this approach, the solution on the full domain is obtained via an iterative process in which a sequence of subdomain-local problems are solved, with information propagating between subdomains through transmission boundary conditions (BCs). We explore several new directions involving the Schwarz alternating method aimed at maximizing the method's efficiency and flexibility, and demonstrate it on three challenging two-dimensional nonlinear hyperbolic problems: the shallow water equations, Burgers' equation, and the compressible Euler equations. We demonstrate that, for a cell-centered finite volume discretization and a non-overlapping DD, it is possible to obtain a stable and accurate coupled model utilizing Dirichlet-Dirichlet (rather than Robin-Robin or alternating Dirichlet-Neumann) transmission BCs on the subdomain boundaries. We additionally explore the impact of boundary sampling when utilizing the Schwarz alternating method to couple subdomain-local hyper-reduced PROMs. Our numerical results suggest that the proposed methodology has the potential to improve PROM accuracy by enabling the spatial localization of these models via domain decomposition, and achieve up to two orders of magnitude speedup over equivalent coupled full order model solutions and moderate speedups over analogous monolithic solutions.




Abstract:Disturbances to the climate system, both natural and anthropogenic, have far reaching impacts that are not always easy to identify or quantify using traditional climate science analyses or causal modeling techniques. In this paper, we develop a novel technique for discovering and ranking the chain of spatio-temporal downstream impacts of a climate source, referred to herein as a source-impact pathway, using Random Forest Regression (RFR) and SHapley Additive exPlanation (SHAP) feature importances. Rather than utilizing RFR for classification or regression tasks (the most common use case for RFR), we propose a fundamentally new RFR-based workflow in which we: (i) train random forest (RF) regressors on a set of spatio-temporal features of interest, (ii) calculate their pair-wise feature importances using the SHAP weights associated with those features, and (iii) translate these feature importances into a weighted pathway network (i.e., a weighted directed graph), which can be used to trace out and rank interdependencies between climate features and/or modalities. We adopt a tiered verification approach to verify our new pathway identification methodology. In this approach, we apply our method to ensembles of data generated by running two increasingly complex benchmarks: (i) a set of synthetic coupled equations, and (ii) a fully coupled simulation of the 1991 eruption of Mount Pinatubo in the Philippines performed using a modified version 2 of the U.S. Department of Energy's Energy Exascale Earth System Model (E3SMv2). We find that our RFR feature importance-based approach can accurately detect known pathways of impact for both test cases.




Abstract:Physics-informed neural networks (PINNs) are appealing data-driven tools for solving and inferring solutions to nonlinear partial differential equations (PDEs). Unlike traditional neural networks (NNs), which train only on solution data, a PINN incorporates a PDE's residual into its loss function and trains to minimize the said residual at a set of collocation points in the solution domain. This paper explores the use of the Schwarz alternating method as a means to couple PINNs with each other and with conventional numerical models (i.e., full order models, or FOMs, obtained via the finite element, finite difference or finite volume methods) following a decomposition of the physical domain. It is well-known that training a PINN can be difficult when the PDE solution has steep gradients. We investigate herein the use of domain decomposition and the Schwarz alternating method as a means to accelerate the PINN training phase. Within this context, we explore different approaches for imposing Dirichlet boundary conditions within each subdomain PINN: weakly through the loss and/or strongly through a solution transformation. As a numerical example, we consider the one-dimensional steady state advection-diffusion equation in the advection-dominated (high Peclet) regime. Our results suggest that the convergence of the Schwarz method is strongly linked to the choice of boundary condition implementation within the PINNs being coupled. Surprisingly, strong enforcement of the Schwarz boundary conditions does not always lead to a faster convergence of the method. While it is not clear from our preliminary study that the PINN-PINN coupling via the Schwarz alternating method accelerates PINN convergence in the advection-dominated regime, it reveals that PINN training can be improved substantially for Peclet numbers as high as 1e6 by performing a PINN-FOM coupling.




Abstract:A method for the nonintrusive and structure-preserving model reduction of canonical and noncanonical Hamiltonian systems is presented. Based on the idea of operator inference, this technique is provably convergent and reduces to a straightforward linear solve given snapshot data and gray-box knowledge of the system Hamiltonian. Examples involving several hyperbolic partial differential equations show that the proposed method yields reduced models which, in addition to being accurate and stable with respect to the addition of basis modes, preserve conserved quantities well outside the range of their training data.




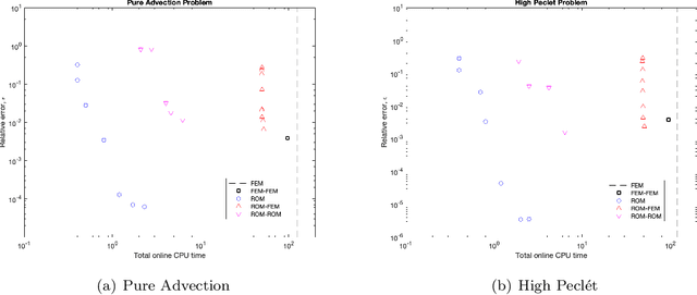
Abstract:Partitioned methods allow one to build a simulation capability for coupled problems by reusing existing single-component codes. In so doing, partitioned methods can shorten code development and validation times for multiphysics and multiscale applications. In this work, we consider a scenario in which one or more of the "codes" being coupled are projection-based reduced order models (ROMs), introduced to lower the computational cost associated with a particular component. We simulate this scenario by considering a model interface problem that is discretized independently on two non-overlapping subdomains. We then formulate a partitioned scheme for this problem that allows the coupling between a ROM "code" for one of the subdomains with a finite element model (FEM) or ROM "code" for the other subdomain. The ROM "codes" are constructed by performing proper orthogonal decomposition (POD) on a snapshot ensemble to obtain a low-dimensional reduced order basis, followed by a Galerkin projection onto this basis. The ROM and/or FEM "codes" on each subdomain are then coupled using a Lagrange multiplier representing the interface flux. To partition the resulting monolithic problem, we first eliminate the flux through a dual Schur complement. Application of an explicit time integration scheme to the transformed monolithic problem decouples the subdomain equations, allowing their independent solution for the next time step. We show numerical results that demonstrate the proposed method's efficacy in achieving both ROM-FEM and ROM-ROM coupling.