Abstract:We are interested in the estimation of a rank-one tensor signal when only a portion $\varepsilon$ of its noisy observation is available. We show that the study of this problem can be reduced to that of a random matrix model whose spectral analysis gives access to the reconstruction performance. These results shed light on and specify the loss of performance induced by an artificial reduction of the memory cost of a tensor via the deletion of a random part of its entries.
Abstract:The performance of spectral clustering relies on the fluctuations of the entries of the eigenvectors of a similarity matrix, which has been left uncharacterized until now. In this letter, it is shown that the signal $+$ noise structure of a general spike random matrix model is transferred to the eigenvectors of the corresponding Gram kernel matrix and the fluctuations of their entries are Gaussian in the large-dimensional regime. This CLT-like result was the last missing piece to precisely predict the classification performance of spectral clustering. The proposed proof is very general and relies solely on the rotational invariance of the noise. Numerical experiments on synthetic and real data illustrate the universality of this phenomenon.



Abstract:We study the estimation of a planted signal hidden in a recently introduced nested matrix-tensor model, which is an extension of the classical spiked rank-one tensor model, motivated by multi-view clustering. Prior work has theoretically examined the performance of a tensor-based approach, which relies on finding a best rank-one approximation, a problem known to be computationally hard. A tractable alternative approach consists in computing instead the best rank-one (matrix) approximation of an unfolding of the observed tensor data, but its performance was hitherto unknown. We quantify here the performance gap between these two approaches, in particular by deriving the precise algorithmic threshold of the unfolding approach and demonstrating that it exhibits a BBP-type transition behavior. This work is therefore in line with recent contributions which deepen our understanding of why tensor-based methods surpass matrix-based methods in handling structured tensor data.




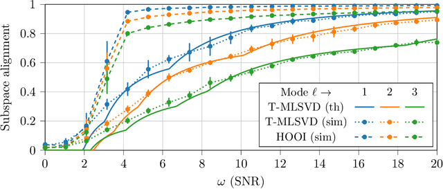
Abstract:This work presents a comprehensive understanding of the estimation of a planted low-rank signal from a general spiked tensor model near the computational threshold. Relying on standard tools from the theory of large random matrices, we characterize the large-dimensional spectral behavior of the unfoldings of the data tensor and exhibit relevant signal-to-noise ratios governing the detectability of the principal directions of the signal. These results allow to accurately predict the reconstruction performance of truncated multilinear SVD (MLSVD) in the non-trivial regime. This is particularly important since it serves as an initialization of the higher-order orthogonal iteration (HOOI) scheme, whose convergence to the best low-multilinear-rank approximation depends entirely on its initialization. We give a sufficient condition for the convergence of HOOI and show that the number of iterations before convergence tends to $1$ in the large-dimensional limit.