



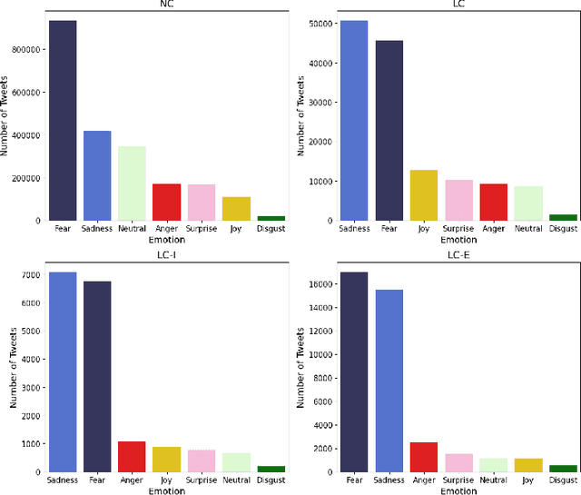
Abstract:The COVID-19 pandemic has led to the emergence of Long COVID, a cluster of symptoms that persist after infection. Long COVID patients may also experience mental health challenges, making it essential to understand individuals' emotional and mental well-being. This study aims to gain a deeper understanding of Long COVID individuals' emotional and mental well-being, identify the topics that most concern them, and explore potential correlations between their emotions and social media activity. Specifically, we classify tweets into four categories based on the content, detect the presence of six basic emotions, and extract prevalent topics. Our analyses reveal that negative emotions dominated throughout the study period, with two peaks during critical periods, such as the outbreak of new COVID variants. The findings of this study have implications for policy and measures for addressing the mental health challenges of individuals with Long COVID and provide a foundation for future work.




Abstract:The search space of neural architecture search (NAS) for convolutional neural network (CNN) is huge. To reduce searching cost, most NAS algorithms use fixed outer network level structure, and search the repeatable cell structure only. Such kind of fixed architecture performs well when enough cells and channels are used. However, when the architecture becomes more lightweight, the performance decreases significantly. To obtain better lightweight architectures, more flexible and diversified neural architectures are in demand, and more efficient methods should be designed for larger search space. Motivated by this, we propose MoARR algorithm, which utilizes the existing research results and historical information to quickly find architectures that are both lightweight and accurate. We use the discovered high-performance cells to construct network architectures. This method increases the network architecture diversity while also reduces the search space of cell structure design. In addition, we designs a novel multi-objective method to effectively analyze the historical evaluation information, so as to efficiently search for the Pareto optimal architectures with high accuracy and small parameter number. Experimental results show that our MoARR can achieve a powerful and lightweight model (with 1.9% error rate and 2.3M parameters) on CIFAR-10 in 6 GPU hours, which is better than the state-of-the-arts. The explored architecture is transferable to ImageNet and achieves 76.0% top-1 accuracy with 4.9M parameters.