Abstract:Model combination is a powerful approach to achieve superior performance with a set of models than by just selecting any single one. We study both theoretically and empirically the effectiveness of ensembles of Multi-Frequency Echo State Networks (MFESNs), which have been shown to achieve state-of-the-art macroeconomic time series forecasting results (Ballarin et al., 2024a). Hedge and Follow-the-Leader schemes are discussed, and their online learning guarantees are extended to the case of dependent data. In applications, our proposed Ensemble Echo State Networks show significantly improved predictive performance compared to individual MFESN models.


Abstract:The total memory capacity (MC) of linear recurrent neural networks (RNNs) has been proven to be equal to the rank of the corresponding Kalman controllability matrix, and it is almost surely maximal for connectivity and input weight matrices drawn from regular distributions. This fact questions the usefulness of this metric in distinguishing the performance of linear RNNs in the processing of stochastic signals. This note shows that the MC of random nonlinear RNNs yields arbitrary values within established upper and lower bounds depending just on the input process scale. This confirms that the existing definition of MC in linear and nonlinear cases has no practical value.




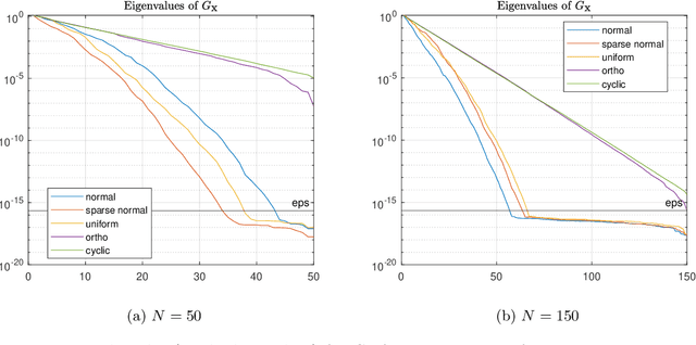
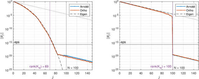
Abstract:Numerical evaluations of the memory capacity (MC) of recurrent neural networks reported in the literature often contradict well-established theoretical bounds. In this paper, we study the case of linear echo state networks, for which the total memory capacity has been proven to be equal to the rank of the corresponding Kalman controllability matrix. We shed light on various reasons for the inaccurate numerical estimations of the memory, and we show that these issues, often overlooked in the recent literature, are of an exclusively numerical nature. More explicitly, we prove that when the Krylov structure of the linear MC is ignored, a gap between the theoretical MC and its empirical counterpart is introduced. As a solution, we develop robust numerical approaches by exploiting a result of MC neutrality with respect to the input mask matrix. Simulations show that the memory curves that are recovered using the proposed methods fully agree with the theory.