



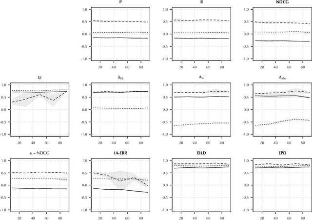
Abstract:Recommender systems have become the dominant means of curating cultural content, significantly influencing individual cultural experience. Since recommender systems tend to optimize for personalized user experience, they can overlook impacts on cultural experience in the aggregate. After demonstrating that existing metrics do not center culture, we introduce a new metric, commonality, that measures the degree to which recommendations familiarize a given user population with specified categories of cultural content. We developed commonality through an interdisciplinary dialogue between researchers in computer science and the social sciences and humanities. With reference to principles underpinning public service media systems in democratic societies, we identify universality of address and content diversity in the service of strengthening cultural citizenship as particularly relevant goals for recommender systems delivering cultural content. We develop commonality as a measure of recommender system alignment with the promotion of content toward a shared cultural experience across a population of users. We empirically compare the performance of recommendation algorithms using commonality with existing metrics, demonstrating that commonality captures a novel property of system behavior complementary to existing metrics. Alongside existing fairness and diversity metrics, commonality contributes to a growing body of scholarship developing `public good' rationales for machine learning systems.


Abstract:Recommender systems have become the dominant means of curating cultural content, significantly influencing the nature of individual cultural experience. While the majority of research on recommender systems optimizes for personalized user experience, this paradigm does not capture the ways that recommender systems impact cultural experience in the aggregate, across populations of users. Although existing novelty, diversity, and fairness studies probe how systems relate to the broader social role of cultural content, they do not adequately center culture as a core concept and challenge. In this work, we introduce commonality as a new measure that reflects the degree to which recommendations familiarize a given user population with specified categories of cultural content. Our proposed commonality metric responds to a set of arguments developed through an interdisciplinary dialogue between researchers in computer science and the social sciences and humanities. With reference to principles underpinning non-profit, public service media systems in democratic societies, we identify universality of address and content diversity in the service of strengthening cultural citizenship as particularly relevant goals for recommender systems delivering cultural content. Taking diversity in movie recommendation as a case study in enhancing pluralistic cultural experience, we empirically compare systems' performance using commonality and existing utility, diversity, and fairness metrics. Our results demonstrate that commonality captures a property of system behavior complementary to existing metrics and suggest the need for alternative, non-personalized interventions in recommender systems oriented to strengthening cultural citizenship across populations of users. In this way, commonality contributes to a growing body of scholarship developing 'public good' rationales for digital media and ML systems.