



Abstract:This paper proposes a conversational approach implemented by the system Chatin for driving an intuitive data exploration experience. Our work aims to unlock the full potential of data analytics and artificial intelligence with a new generation of data science solutions. Chatin is a cutting-edge tool that democratises access to AI-driven solutions, empowering non-technical users from various disciplines to explore data and extract knowledge from it.





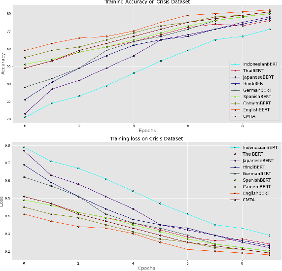
Abstract:This paper presents the Multilingual COVID-19 Analysis Method (CMTA) for detecting and observing the spread of misinformation about this disease within texts. CMTA proposes a data science (DS) pipeline that applies machine learning models for processing, classifying (Dense-CNN) and analyzing (MBERT) multilingual (micro)-texts. DS pipeline data preparation tasks extract features from multilingual textual data and categorize it into specific information classes (i.e., 'false', 'partly false', 'misleading'). The CMTA pipeline has been experimented with multilingual micro-texts (tweets), showing misinformation spread across different languages. To assess the performance of CMTA and put it in perspective, we performed a comparative analysis of CMTA with eight monolingual models used for detecting misinformation. The comparison shows that CMTA has surpassed various monolingual models and suggests that it can be used as a general method for detecting misinformation in multilingual micro-texts. CMTA experimental results show misinformation trends about COVID-19 in different languages during the first pandemic months.
