



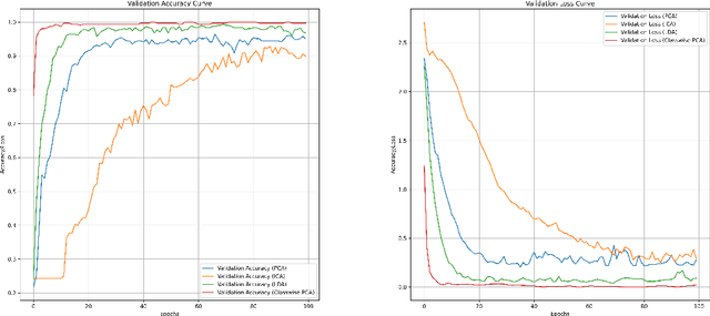
Abstract:This paper introduces the Class-wise Principal Component Analysis, a supervised feature extraction method for hyperspectral data. Hyperspectral Imaging (HSI) has appeared in various fields in recent years, including Remote Sensing. Realizing that information extraction tasks for hyperspectral images are burdened by data-specific issues, we identify and address two major problems. Those are the Curse of Dimensionality which occurs due to the high-volume of the data cube and the class imbalance problem which is common in hyperspectral datasets. Dimensionality reduction is an essential preprocessing step to complement a hyperspectral image classification task. Therefore, we propose a feature extraction algorithm for dimensionality reduction, based on Principal Component Analysis (PCA). Evaluations are carried out on the Indian Pines dataset to demonstrate that significant improvements are achieved when using the reduced data in a classification task.