



Abstract:We propose a novel method, termed SuMo-net, that uses partially monotonic neural networks to learn a time-to-event distribution from a sample of covariates and right-censored times. SuMo-net models the survival function and the density jointly, and optimizes the likelihood for right-censored data instead of the often used partial likelihood. The method does not make assumptions about the true survival distribution and avoids computationally expensive integration of the hazard function. We evaluate the performance of the method on a range of datasets and find competitive performance across different metrics and improved computational time of making new predictions.




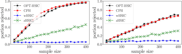
Abstract:We propose a nonparametric test of independence, termed OPT-HSIC, between a covariate and a right-censored lifetime. Because the presence of censoring creates a challenge in applying the standard permutation-based testing approaches, we use optimal transport to transform the censored dataset into an uncensored one, while preserving the relevant dependencies. We then apply a permutation test using the kernel-based dependence measure as a statistic to the transformed dataset. The type 1 error is proven to be correct in the case where censoring is independent of the covariate. Experiments indicate that OPT-HSIC has power against a much wider class of alternatives than Cox proportional hazards regression and that it has the correct type 1 control even in the challenging cases where censoring strongly depends on the covariate.