



Abstract:In this manuscript we analyze a data set containing information on children with Hodgkin Lymphoma (HL) enrolled on a clinical trial. Treatments received and survival status were collected together with other covariates such as demographics and clinical measurements. Our main task is to explore the potential of machine learning (ML) algorithms in a survival analysis context in order to improve over the Cox Proportional Hazard (CoxPH) model. We discuss the weaknesses of the CoxPH model we would like to improve upon and then we introduce multiple algorithms, from well-established ones to state-of-the-art models, that solve these issues. We then compare every model according to the concordance index and the brier score. Finally, we produce a series of recommendations, based on our experience, for practitioners that would like to benefit from the recent advances in artificial intelligence.


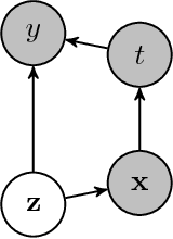
Abstract:In the following short article we adapt a new and popular machine learning model for inference on medical data sets. Our method is based on the Variational AutoEncoder (VAE) framework that we adapt to survival analysis on small data sets with missing values. In our model, the true health status appears as a set of latent variables that affects the observed covariates and the survival chances. We show that this flexible model allows insightful decision-making using a predicted distribution and outperforms a classic survival analysis model.