



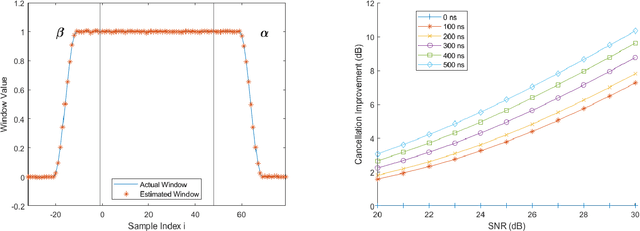
Abstract:The ability to cancel an OFDM signal is important to many wireless communication systems including Power-Domain Non-orthogonal Multiple Access (PD-NOMA), Rate-Splitting Multiple Access (RSMA), and spectrum underlay for dynamic spectrum access. In this paper, we show that estimating the windowing applied at the transmitter is important to that cancellation. Windowing at the transmitter is a popular means to control the bandwidth of an Orthogonal Frequency Division Multiplexed (OFDM) symbol and is overlooked in most literature on OFDM signal cancellation. We show the limitation to the amount of cancellation that can be achieved without knowledge of OFDM windowing. We show that the window can be estimated from received samples alone, and that window estimate can be used to improve the signal cancellation. The window is estimated in the presence of noise and imperfect estimates of the center frequency offset (CFO) and the channel. We conclude with results using synthetic and over-the-air data where we demonstrate a 5.3 dB improvement to OFDM signal cancellation over existing methods in an over-the-air experiment.




Abstract:In this paper, we explore the use of multiple deep learning techniques to detect weak interference in WiFi networks. Given the low interference signal levels involved, this scenario tends to be difficult to detect. However, even signal-to-interference ratios exceeding 20 dB can cause significant throughput degradation and latency. Furthermore, the resultant packet error rate may not be enough to force the WiFi network to fallback to a more robust physical layer configuration. Deep learning applied directly to sampled radio frequency data has the potential to perform detection much cheaper than successive interference cancellation, which is important for real-time persistent network monitoring. The techniques explored in this work include maximum softmax probability, distance metric learning, variational autoencoder, and autoreggressive log-likelihood. We also introduce the notion of generalized outlier exposure for these techniques, and show its importance in detecting weak interference. Our results indicate that with outlier exposure, maximum softmax probability, distance metric learning, and autoreggresive log-likelihood are capable of reliably detecting interference more than 20 dB below the 802.11 specified minimum sensitivity levels. We believe this presents a unique software solution to real-time, persistent network monitoring.




Abstract:We propose a method for covert communications using an IEEE 802.11 OFDM/QAM packet as a carrier. We show how to hide the covert message so that the transmitted signal does not violate the spectral mask specified by the standard, and we determine its impact on the OFDM packet error rate. We show conditions under which the hidden signal is not usable and those under which it can be retrieved with a usable bit error rate (BER). The hidden signal is extracted by cancellation of the OFDM signal in the covert receiver. We explore the effects of the hidden signal on OFDM parameter estimation and the covert signal BER. We conclude with an experiment using Over-The-Air recordings of 802.11 packets, inject the hidden