



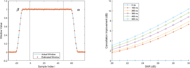
The ability to cancel an OFDM signal is important to many wireless communication systems including Power-Domain Non-orthogonal Multiple Access (PD-NOMA), Rate-Splitting Multiple Access (RSMA), and spectrum underlay for dynamic spectrum access. In this paper, we show that estimating the windowing applied at the transmitter is important to that cancellation. Windowing at the transmitter is a popular means to control the bandwidth of an Orthogonal Frequency Division Multiplexed (OFDM) symbol and is overlooked in most literature on OFDM signal cancellation. We show the limitation to the amount of cancellation that can be achieved without knowledge of OFDM windowing. We show that the window can be estimated from received samples alone, and that window estimate can be used to improve the signal cancellation. The window is estimated in the presence of noise and imperfect estimates of the center frequency offset (CFO) and the channel. We conclude with results using synthetic and over-the-air data where we demonstrate a 5.3 dB improvement to OFDM signal cancellation over existing methods in an over-the-air experiment.